Unit 12 Aldehydes, Ketones And Carboxylic Acids
Carbonyl compounds are of utmost importance to organic chemistry. They are constituents of fabrics, flavourings, plastics and drugs.
In the previous Unit, you have studied organic compounds with functional groups containing carbonoxygen single bond. In this Unit, we will study about the organic compounds containing carbon-oxygen double bond ( $>\mathrm{C}=\mathrm{O}$ ) called carbonyl group, which is one of the most important functional groups in organic chemistry.
In aldehydes, the carbonyl group is bonded to a carbon and hydrogen while in the ketones, it is bonded to two carbon atoms. The carbonyl compounds in which carbon of carbonyl group is bonded to carbon or hydrogen and oxygen of hydroxyl moiety (-OH) are known as carboxylic acids, while in compounds where carbon is attached to carbon or hydrogen and nitrogen of $-\mathrm{NH}_{2}$ moiety or to halogens are called amides and acyl halides respectively. Esters and anhydrides are derivatives of carboxylic acids. The general formulas of these classes of compounds are given below:
Aldehydes, ketones and carboxylic acids are widespread in plants and animal kingdom. They play an important role in biochemical processes of life. They add fragrance and flavour to nature, for example, vanillin (from vanilla beans), salicylaldehyde (from meadow sweet) and cinnamaldehyde (from cinnamon) have very pleasant fragrances.
They are used in many food products and pharmaceuticals to add flavours. Some of these families are manufactured for use as solvents (i.e., acetone) and for preparing materials like adhesives, paints, resins, perfumes, plastics, fabrics, etc.
8.1 Nomenclature and Structure of Carbonyl Group [228-231]
8.1.1 Nomenclature [228-230]
I. Aldehydes and ketones
Aldehydes and ketones are the simplest and most important carbonyl compounds.
There are two systems of nomenclature of aldehydes and ketones.
(a) Common names
Aldehydes and ketones are often called by their common names instead of IUPAC names. The common names of most aldehydes are derived from the common names of the corresponding carboxylic acids [Section 8.6.1] by replacing the ending $-ic$ of acid with aldehyde. At the same time, the names reflect the Latin or Greek term for the original source of the acid or aldehyde. The location of the substituent in the carbon chain is indicated by Greek letters $\alpha, \beta, \gamma, \delta$, etc. The $\alpha$-carbon being the one directly linked to the aldehyde group, $\beta$ carbon the next, and so on. For example
The common names of ketones are derived by naming two alkyl or aryl groups bonded to the carbonyl group. The locations of substituents are indicated by Greek letters, $\alpha~ \alpha^{\prime}, \beta~ \beta^{\prime}$ and so on beginning with the carbon atoms next to the carbonyl group, indicated as $\alpha~ \alpha^{\prime}$. Some ketones have historical common names, the simplest dimethyl ketone is called acetone. Alkyl phenyl ketones are usually named by adding the name of acyl group as prefix to the word phenone. For example
(b) IUPAC names
The IUPAC names of open chain aliphatic aldehydes and ketones are derived from the names of the corresponding alkanes by replacing the ending $–e$ with $–al$ and $–one$ respectively. In case of aldehydes the longest carbon chain is numbered starting from the carbon of the aldehyde group while in case of ketones the numbering begins from the end nearer to the carbonyl group. The substituents are prefixed in alphabetical order along with numerals indicating their positions in the carbon chain. The same applies to cyclic ketones, where the carbonyl carbon is numbered one. When the aldehyde group is attached to a ring, the suffix carbaldehyde is added after the full name of the cycloalkane. The numbering of the ring carbon atoms start from the carbon atom attached to the aldehyde group. The name of the simplest aromatic aldehyde carrying the aldehyde group on a benzene ring is benzenecarbaldehyde. However, the common name benzaldehyde is also accepted by IUPAC. Other aromatic aldehydes are hence named as substituted benzaldehydes.
The common and IUPAC names of some aldehydes and ketones are given in Table 8.1.
Table 8.1: Common and IUPAC Names of Some Aldehydes and Ketones
8.1.2 Structure of the Carbonyl Group [230]
The carbonyl carbon atom is $s p^{2}$-hybridised and forms three sigma ( $\sigma$ ) bonds. The fourth valence electron of carbon remains in its $p$-orbital and forms a $\pi$-bond with oxygen by overlap with $p$-orbital of an oxygen. In addition, the oxygen atom also has two non bonding electron pairs. Thus, the carbonyl carbon and the three atoms attached to it lie in the same plane and the $\pi$-electron cloud is above and below this plane. The bond angles are approximately $120^{\circ}$ as expected of a trigonal coplanar structure (Figure 8.1).
Fig.8.1 Orbital diagram for the formation of carbonyl group
The carbon-oxygen double bond is polarised due to higher electronegativity of oxygen relative to carbon. Hence, the carbonyl carbon is an electrophilic (Lewis acid), and carbonyl oxygen, a nucleophilic (Lewis base) centre. Carbonyl compounds have substantial dipole moments and are polar than ethers. The high polarity of the carbonyl group is explained on the basis of resonance involving a neutral (A) and a dipolar (B) structures as shown.
Intext Questions
12.1 Write the structures of the following compounds.
(i) $\alpha$-Methoxypropionaldehyde
(ii) 3-Hydroxybutanal
(iii) 2-Hydroxycyclopentane carbaldehyde
(iv) 4-Oxopentanal
(v) Di-sec- butyl ketone
(vi) 4-Fluoroacetophenone
Show Answer
Answer
(i)
8.2 Preparation of Aldehydes and Ketones [231-234]
Some important methods for the preparation of aldehydes and ketones are as follows:
8.2.1 Preparation of Aldehydes and Ketones [231-234]
1. By oxidation of alcohols
Aldehydes and ketones are generally prepared by oxidation of primary and secondary alcohols, respectively (Unit 11, Class XII).
2. By dehydrogenation of alcohols
This method is suitable for volatile alcohols and is of industrial application. In this method alcohol vapours are passed over heavy metal catalysts $(\mathrm{Ag}$ or $\mathrm{Cu})$ . Primary and secondary alcohols give aldehydes and ketones, respectivelyy (Unit 11, Class XII).
3. From hydrocarbons
(i) By ozonolysis of alkenes: As we know, ozonolysis of alkenes followed by reaction with zinc dust and water gives aldehydes, ketones or a mixture of both depending on the substitution pattern of the alkene (Unit 13, Class XI).
(ii) By hydration of alkynes: Addition of water to ethyne in the presence of $\mathrm{H_2} \mathrm{SO_4}$ and $\mathrm{HgSO_4}$ gives acetaldehyde. All other alkynes give ketones in this reaction (Unit 13, Class XI).
8.2.2 Preparation of Aldehydes [232-233]
1. From acyl chloride (acid chloride)
Acyl chloride (acid chloride) is hydrogenated over catalyst, palladium on barium sulphate. This reaction is called Rosenmund reduction.
2. From nitriles and esters
Nitriles are reduced to corresponding imine with stannous chloride in the presence of hydrochloric acid, which on hydrolysis give corresponding aldehyde.
This reaction is called Stephen reaction.
Alternatively, nitriles are selectively reduced by diisobutylaluminium hydride, (DIBAL-H) to imines followed by hydrolysis to aldehydes:
Similarly, esters are also reduced to aldehydes with DIBAL-H.
3. From hydrocarbons
Aromatic aldehydes (benzaldehyde and its derivatives) are prepared from aromatic hydrocarbons by the following methods:
(i) By oxidation of methylbenzene
Strong oxidising agents oxidise toluene and its derivatives to benzoic acids. However, it is possible to stop the oxidation at the aldehyde stage with suitable reagents that convert the methyl group to an intermediate that is difficult to oxidise further. The following methods are used for this purpose.
(a) Use of chromyl chloride $\left(\mathrm{CrO_2} \mathrm{Cl_2}\right)$ : Chromyl chloride oxidises methyl group to a chromium complex, which on hydrolysis gives corresponding benzaldehyde.
This reaction is called Etard reaction.
(b) Use of chromic oxide $\left(\mathrm{CrO_3}\right)$ : Toluene or substituted toluene is converted to benzylidene diacetate on treating with chromic oxide in acetic anhydride. The benzylidene diacetate can be hydrolysed to corresponding benzaldehyde with aqueous acid.
(ii) By side chain chlorination followed by hydrolysis
Side chain chlorination of toluene gives benzal chloride, which on hydrolysis gives benzaldehyde. This is a commercial method of manufacture of benzaldehyde.
(iii) By Gatterman - Koch reaction
When benzene or its derivative is treated with carbon monoxide and hydrogen chloride in the presence of anhydrous aluminium chloride or cuprous chloride, it gives benzaldehyde or substituted benzaldehyde.
This reaction is known as Gatterman-Koch reaction.
8.2.3 Preparation of Ketones [233-234]
1. From acyl chlorides
Treatment of acyl chlorides with dialkylcadmium, prepared by the reaction of cadmium chloride with Grignard reagent, gives ketones.
$$ \begin{aligned} & 2 \mathrm{R}-\mathrm{Mg}-\mathrm{X}+\mathrm{CdCl_2} \longrightarrow \mathrm{R_2} \mathrm{Cd}+2 \mathrm{Mg}(\mathrm{X}) \mathrm{Cl} \end{aligned} $$
$$ \mathrm{2R^\prime}-\underset{\large\mathrm{O}}{\underset{\text{||}}{\mathrm{C}}} - \mathrm{Cl} + \mathrm{R_2Cd} \longrightarrow \mathrm{2R^\prime}-\underset{\large\mathrm{O}}{\underset{\text{||}}{\mathrm{C}}} - \mathrm{R} + \mathrm{CdCl_2} $$
2. From nitriles
Treating a nitrile with Grignard reagent followed by hydrolysis yields a ketone.
3. From benzene or substituted benzenes
When benzene or substituted benzene is treated with acid chloride in the presence of anhydrous aluminium chloride, it affords the corresponding ketone. This reaction is known as riedel-Crafts acylation reaction.
Example 8.1 Give names of the reagents to bring about the following transformations:
(i) Hexan-1-ol to hexanal
(ii) Cyclohexanol to cyclohexanone
(iii) $p$-Fluorotoluene to
(iv) Ethanenitrile to ethanal $p$-fluorobenzaldehyde
(v) Allyl alcohol to propenal
(vi) But-2-ene to ethanal
Solution
(i) $\mathrm{C_5} \mathrm{H_5} \mathrm{NH}^{+} \mathrm{CrO_3} \mathrm{Cl}-(\mathrm{PCC})$
(ii) Anhydrous $\mathrm{CrO_3}$
(iii) $\mathrm{CrO_3}$ in the presence of acetic anhydride/
(iv) (Diisobutyl)aluminium 1.$\mathrm{CrO_2} \mathrm{Cl_2}$ 2. $\mathrm{HOH}$
(v) PCC hydride (DIBAL-H)
(vi) $\mathrm{O_3} / \mathrm{H_2} \mathrm{O}-\mathrm{Zn}$ dust
Intext Question
12.2 Write the structures of products of the following reactions;
Show Answer
Answer
8.3 Physical Properties [235-236]
The physical properties of aldehydes and ketones are described as follows.
Methanal is a gas at room temperature. Ethanal is a volatile liquid. Other aldehydes and ketones are liquid or solid at room temperature. The boiling points of aldehydes and ketones are higher than hydrocarbons and ethers of comparable molecular masses. It is due to weak molecular association in aldehydes and ketones arising out of the dipole-dipole interactions. Also, their boiling points are lower than those of alcohols of similar molecular masses due to absence of intermolecular hydrogen bonding. The following compounds of molecular masses 58 and 60 are ranked in order of increasing boiling points.
| b.p.(K) | Molecular Mass | |
|---|---|---|
| n-Butane | 273 | 58 |
| Methoxyethane | 281 | 60 |
| Propanal | 322 | 58 |
| Acetone | 329 | 58 |
| Propan-1-ol | 370 | 60 |
The lower members of aldehydes and ketones such as methanal, ethanal and propanone are miscible with water in all proportions, because they form hydrogen bond with water.
However, the solubility of aldehydes and ketones decreases rapidly on increasing the length of alkyl chain. All aldehydes and ketones are fairly soluble in organic solvents like benzene, ether, methanol, chloroform, etc. The lower aldehydes have sharp pungent odours. As the size of the molecule increases, the odour becomes less pungent and more fragrant. In fact, many naturally occurring aldehydes and ketones are used in the blending of perfumes and flavouring agents.
Example 8.2 Arrange the following compounds in the increasing order of their boiling points:
$\mathrm{CH_3} \mathrm{CH_2} \mathrm{CH_2} \mathrm{CHO},\quad \mathrm{CH_3} \mathrm{CH_2} \mathrm{CH_2} \mathrm{CH_2} \mathrm{OH},\quad \mathrm{H_5} \mathrm{C_2}-\mathrm{O}-\mathrm{C_2} \mathrm{H_5},\quad \mathrm{CH_3} \mathrm{CH_2} \mathrm{CH_2} \mathrm{CH_3}$
Solution The molecular masses of these compounds are in the range of 72 to 74. Since only butan-1-ol molecules are associated due to extensive intermolecular hydrogen bonding, therefore, the boiling point of butan-1-ol would be the highest. Butanal is more polar than ethoxyethane. Therefore, the intermolecular dipole-dipole attraction is stronger in the former. $n$-Pentane molecules have only weak van der Waals forces. Hence increasing order of boiling points of the given compounds is as follows:
$\mathrm{CH_3} \mathrm{CH_2} \mathrm{CH_2} \mathrm{CH_3}<\mathrm{H_5} \mathrm{C_2}-\mathrm{O}-\mathrm{C_2} \mathrm{H_5}<\mathrm{CH_3} \mathrm{CH_2} \mathrm{CH_2} \mathrm{CHO}<\mathrm{CH_3} \mathrm{CH_2} \mathrm{CH_2} \mathrm{CH_2} \mathrm{OH}$
Intext Question
12.3 Arrange the following compounds in increasing order of their boiling points.
${CH_3} {CHO}, {CH_3} {CH_2} {OH}, {CH_3} {OCH_3}, {CH_3} {CH_2} {CH_3}$
Show Answer
Answer
The molecular masses of the given compounds are in the range 44 to 46 . ${CH_3} {CH_2} {OH}$ undergoes extensive intermolecular ${H}$-bonding, resulting in the association of molecules. Therefore, it has the highest boiling point. ${CH_3} {CHO}$ is more polar than ${CH_3} {OCH_3}$ and so ${CH_3} {CHO}$ has stronger intermolecular dipole - dipole attraction than ${CH_3} {OCH_3}. $ $ {CH_3} {CH_2} {CH_3}$ has only weak van der Waals force. Thus, the arrangement of the given compounds in the increasing order of their boiling points is given by:
${CH_3} {CH_2} {CH_3}<{CH_3} {OCH_3}<{CH_3} {CHO}<{CH_3} {CH_2} {OH}$
8.4 Chemical Reactions [236-243]
Since aldehydes and ketones both possess the carbonyl functional group, they undergo similar chemical reactions.
1. Nucleophilic addition reactions
Contrary to electrophilic addition reactions observed in alkenes the aldehydes and ketones undergo nucleophilic addition reactions.
(i) Mechanism of nucleophilic addition reactions
A nucleophile attacks the electrophilic carbon atom of the polar carbonyl group from a direction approximately perpendicular to the plane of $s p^{2}$ hybridised orbitals of carbonyl carbon (Fig. 8.2). The hybridisation of carbon changes from $s p^{2}$ to $s p^{3}$ in this process, and a tetrahedral alkoxide intermediate is produced. This intermediate captures a proton from the reaction medium to give the electrically neutral product. The net result is addition of $\mathrm{Nu}^{-}$and $\mathrm{H}^{+}$ across the carbon oxygen double bond as shown in Fig. 8.2.
Fig.8.2: Nucleophilic attack on carbonyl carbon
(ii) Reactivity
Aldehydes are generally more reactive than ketones in nucleophilic addition reactions due to steric and electronic reasons. Sterically, the presence of two relatively large substituents in ketones hinders the approach of nucleophile to carbonyl carbon than in aldehydes having only one such substituent. Electronically, aldehydes are more reactive than ketones because two alkyl groups reduce the electrophilicity of the carbonyl carbon more effectively than in former.
Example 8.3 Would you expect benzaldehyde to be more reactive or less reactive in nucleophilic addition reactions than propanal? Explain your answer.
Solution The carbon atom of the carbonyl group of benzaldehyde is less electrophilic than carbon atom of the carbonyl group present in
propanal. The polarity of the carbonyl group is reduced in benzaldehyde due to resonance as shown below and hence it is less reactive than propanal.
(iii) Some important examples of nucleophilic addition and nucleophilic addition-elimination reactions:
(a) Addition of hydrogen cyanide (HCN): Aldehydes and ketones react with hydrogen cyanide ( $\mathrm{HCN}$ ) to yield cyanohydrins. This reaction occurs very slowly with pure HCN. Therefore, it is catalysed by a base and the generated cyanide ion $\left(\mathrm{CN}^{-}\right)$ being a stronger nucleophile readily adds to carbonyl compounds to yield corresponding cyanohydrin. Cyanohydrins are useful synthetic intermediates.
(b) Addition of sodium hydrogensulphite: Sodium hydrogensulphite adds to aldehydes and ketones to form the addition products.
The position of the equilibrium lies largely to the right hand side for most aldehydes and to the left for most ketones due to steric reasons. The hydrogensulphite addition compound is water soluble and can be converted back to the original carbonyl compound by treating it with dilute mineral acid or alkali. Therefore, these are useful for separation and purification of aldehydes.
(c) Addition of Grignard reagents: (refer Unit 7, Class XII).
(d) Addition of alcohols: Aldehydes react with one equivalent of monohydric alcohol in the presence of dry hydrogen chloride to yield alkoxyalcohol intermediate, known as hemiacetals, which further react with one more molecule of alcohol to give $a~ gem$-dialkoxy compound known as acetal as shown in the reaction.
Ketones react with ethylene glycol under similar conditions to form cyclic products known as ethylene glycol ketals.
Dry hydrogen chloride protonates the oxygen of the carbonyl compounds and therefore, increases the electrophilicity of the carbonyl carbon facilitating the nucleophilic attack of ethylene glycol. Acetals and ketals are hydrolysed with aqueous mineral acids to yield corresponding aldehydes and ketones respectively.
(e) Addition of ammonia and its derivatives: Nucleophiles, such as ammonia and its derivatives $\mathrm{H_2} \mathrm{~N}-\mathrm{Z}$ add to the carbonyl group of aldehydes and ketones. The reaction is reversible and catalysed by acid. The equilibrium favours the product formation due to rapid dehydration of the intermediate to form $>C=N-Z.$
$$ \mathrm{Z}=\text { Alkyl, aryl, } \mathrm{OH}, \mathrm{NH_2}, \mathrm{C_6} \mathrm{H_5} \mathrm{NH}, \mathrm{NHCONH_2} \text {, etc. } $$
Table 8.2- The equilibrium favours the product formation due to rapid dehydration of the intermediate to form $>\mathrm{C}=\mathrm{N}-\mathrm{Z}$.
2. Reduction
(i) Reduction to alcohols: Aldehydes and ketones are reduced to primary and secondary alcohols respectively by sodium borohydride $\left(\mathrm{NaBH_4}\right)$ or lithium aluminium hydride $\left(\mathrm{LiAlH_4}\right)$ as well as by catalytic hydrogenation (Unit 7, Class XII).
(ii) Reduction to hydrocarbons: The carbonyl group of aldehydes and ketones is reduced to $\mathrm{CH_2}$ group on treatment with zincamalgam and concentrated hydrochloric acid [Clemmensen reduction] or with hydrazine followed by heating with sodium or potassium hydroxide in high boiling solvent such as ethylene glycol (Wolff-Kishner reduction).
Bernhard Tollens (1841-1918) was a Professor of Chemistry at the University of Gottingen, Germany.
3. Oxidation
Aldehydes differ from ketones in their oxidation reactions. Aldehydes are easily oxidised to carboxylic acids on treatment with common oxidising agents like nitric acid, potassium permanganate, potassium dichromate, etc. Even mild oxidising agents, mainly Tollens’ reagent and Fehlings’ reagent also oxidise aldehydes.
$$\mathrm{R-CHO} \xrightarrow{\mathrm{[O]}}\mathrm{R-COOH} $$
Ketones are generally oxidised under vigorous conditions, i.e., strong oxidising agents and at elevated temperatures. Their oxidation involves carbon-carbon bond cleavage to afford a mixture of carboxylic acids having lesser number of carbon atoms than the parent ketone.
The mild oxidising agents given below are used to distinguish aldehydes from ketones:
(i) Tollens’ test: On warming an aldehyde with freshly prepared ammoniacal silver nitrate solution (Tollens’ reagent), a bright silver mirror is produced due to the formation of silver metal. The aldehydes are oxidised to corresponding carboxylate anion. The reaction occurs in alkaline medium.
$\mathrm{RCHO}+2\left[\mathrm{Ag}\left(\mathrm{NH_3}\right)_{2}\right]^{+}+3 \overline{\mathrm{O}} \mathrm{H} \longrightarrow \mathrm{RCO} \overline{\mathrm{O}}+2 \mathrm{Ag}+2 \mathrm{H_2} \mathrm{O}+4 \mathrm{NH_3}$
(ii) Fehling’s test: Fehling reagent comprises of two solutions, Fehling solution A and Fehling solution B. Fehling solution A is aqueous copper sulphate and Fehling solution B is alkaline sodium potassium tartarate (Rochelle salt). These two solutions are mixed in equal amounts before test. On heating an aldehyde with Fehling’s reagent, a reddish brown precipitate is obtained. Aldehydes are oxidised to corresponding carboxylate anion. Aromatic aldehydes do not respond to this test.
$$ \mathrm{R}-\mathrm{CHO}+2 \mathrm{Cu}^{2+}+5 \overline{\mathrm{O}} \mathrm{H} \longrightarrow \underset{\text { Red-brown ppt }}{\mathrm{RCO} \overline{\mathrm{O}}+\mathrm{Cu_2} \mathrm{O}+3 \mathrm{H_2} \mathrm{O}} $$
(iii) Oxidation of methyl ketones by haloform reaction: Aldehydes and ketones having at least one methyl group linked to the carbonyl carbon atom (methyl ketones) are oxidised by sodium hypohalite to sodium salts of corresponding carboxylic acids having one carbon atom less than that of carbonyl compound. The methyl group is converted to haloform. This oxidation does not affect a carbon-carbon double bond, if present in the molecule.
Iodoform reaction with sodium hypoiodite is also used for detection of $\mathrm{CH_3} \mathrm{CO}$ group or $\mathrm{CH_3} \mathrm{CH}(\mathrm{OH})$ group which produces $\mathrm{CH_3} \mathrm{CO}$ group on oxidation.
Example 8.4
An organic compound (A) with molecular formula $\mathrm{C_8} \mathrm{H_8} \mathrm{O}$ forms an orange-red precipitate with 2,4-DNP reagent and gives yellow precipitate on heating with iodine in the presence of sodium hydroxide. It neither reduces Tollens’ or Fehlings’ reagent, nor does it decolourise bromine water or Baeyer’s reagent. On drastic oxidation with chromic acid, it gives a carboxylic acid (B) having molecular formula $\mathrm{C_7} \mathrm{H_6} \mathrm{O_2}$. Identify the compounds (A) and (B) and explain the reactions involved.
Solution (A) forms 2,4-DNP derivative. Therefore, it is an aldehyde or a ketone. Since it does not reduce Tollens’ or Fehling reagent, (A) must be a ketone. (A) responds to iodoform test. Therefore, it should be a methyl ketone. The molecular formula of (A) indicates high degree of unsaturation, yet it does not decolourise bromine water or Baeyer’s reagent. This indicates the presence of unsaturation due to an aromatic ring.
Compound (B), being an oxidation product of a ketone should be a carboxylic acid. The molecular formula of $(\mathrm{B})$ indicates that it should be benzoic acid and compound (A) should, therefore, be a monosubstituted aromatic methyl ketone. The molecular formula of (A) indicates that it should be phenyl methyl ketone (acetophenone). Reactions are as follows:
4. Reactions due to a-hydrogen
Acidity of $\alpha$-hydrogens of aldehydes and ketones: The aldehydes and ketones undergo a number of reactions due to the acidic nature of $\alpha$-hydrogen.
The acidity of $\alpha$-hydrogen atoms of carbonyl compounds is due to the strong electron withdrawing effect of the carbonyl group and resonance stabilisation of the conjugate base.
(i) Aldol condensation: Aldehydes and ketones having at least one $\alpha$-hydrogen undergo a reaction in the presence of dilute alkali as catalyst to form $\beta$-hydroxy aldehydes (aldol) or $\beta$-hydroxy ketones (ketol), respectively. This is known as Aldol reaction.
The name aldol is derived from the names of the two functional groups, aldehyde and alcohol, present in the products. The aldol and ketol readily lose water to give $\alpha, \beta$-unsaturated carbonyl compounds which are aldol condensation products and the reaction is called Aldol condensation. Though ketones give ketols (compounds containing a keto and alcohol groups), the general name aldol condensation still applies to the reactions of ketones due to their similarity with aldehydes.
(ii) Cross aldol condensation: When aldol condensation is carried out between two different aldehydes and / or ketones, it is called cross aldol condensation. If both of them contain $\alpha$-hydrogen atoms, it gives a mixture of four products. This is illustrated below by aldol reaction of a mixture of ethanal and propanal.
5. Other reactions
(i) Cannizzaro reaction: Aldehydes which do not have an a-hydrogen atom, undergo self oxidation and reduction (disproportionation) reaction on heating with concentrated alkali. In this reaction, one molecule of the aldehyde is reduced to alcohol while another is oxidised to carboxylic acid salt.
(ii) Electrophilic substitution reaction: Aromatic aldehydes and ketones undergo electrophilic substitution at the ring in which the carbonyl group acts as a deactivating and $meta$-directing group.
Intext Question
12.4 Arrange the following compounds in increasing order of their reactivity in nucleophilic addition reactions.
(i) Ethanal, Propanal, Propanone, Butanone.
(ii) Benzaldehyde, $p$-Tolualdehyde, $p$-Nitrobenzaldehyde, Acetophenone.
Hint: Consider steric effect and electronic effect.
Show Answer
Answer
The + l effect of the alkyl group increases in the order : Ethanal $<$ Propanal $<$ Propanone $<$ Butanone
The electron density at the carbonyl carbon increases with the increase in the $+I$ effect. As a result, the chances of attack by a nucleophile decrease. Hence, the increasing order of the reactivities of the given carbonyl compounds in nucleophilic addition reactions is:
$\text{Butanone < Propanone < Propanal < Ethanal}$
(ii)
The $+I$ effect is more in ketone than in aldehyde. Hence, acetophenone is the least reactive in nucleophilic addition reactions. Among aldehydes, the $+I$ effect is the highest in $p$-tolualdehyde because of the presence of the electrondonating - ${CH_3}$ group and the lowest in $p$-nitrobezaldehyde because of the presence of the electron-withdrawing ${NO_2}$ group. Hence, the increasing order of the reactivities of the given compounds is:
$\text{Acetophenone < p-tolualdehyde < Benzaldehyde < p-Nitrobenzaldehyde} $
12.5 Predict the products of the following reactions:
Show Answer
Answer
8.5 Uses of Aldehydes and Ketones [243-244]
In chemical industry aldehydes and ketones are used as solvents, starting materials and reagents for the synthesis of other products. Formaldehyde is well known as formalin (40%) solution used to preserve biological specimens and to prepare bakelite (a phenol-formaldehyde resin), urea-formaldehyde glues and other polymeric products. Acetaldehyde is used primarily as a starting material in the manufacture of acetic acid, ethyl acetate, vinyl acetate, polymers and drugs. Benzaldehyde is used in perfumery and in dye industries. Acetone and ethyl methyl ketone are common industrial solvents. Many aldehydes and ketones, e.g., butyraldehyde, vanillin, acetophenone, camphor, etc. are well known for their odours and flavours.
Carboxylic Acids
Carbon compounds containing a carboxyl functional group, $-\mathrm{COOH}$ are called carboxylic acids. The carboxyl group, consists of a carbonyl group attached to a hydroxyl group, hence its name carboxyl. Carboxylic acids may be aliphatic $(\mathrm{RCOOH})$ or aromatic $(\mathrm{ArCOOH})$ depending on the group, alkyl or aryl, attached to carboxylic carbon. Large number of carboxylic acids are found in nature. Some higher members of aliphatic carboxylic acids $\left(\mathrm{C_12}-\mathrm{C_18}\right)$ known as fatty acids, occur in natural fats as esters of glycerol. Carboxylic acids serve as starting material for several other important organic compounds such as anhydrides, esters, acid chlorides, amides, etc.
8.6 Nomenclature and Structure of Carboxyl Group [228-231]
8.6.1 Nomenclature [228-230]
Since carboxylic acids are amongst the earliest organic compounds to be isolated from nature, a large number of them are known by their common names. The common names end with the suffix $-ic$ acid and have been derived from Latin or Greek names of their natural sources. For example, formic acid $(\mathrm{HCOOH})$ was first obtained from red ants (Latin: formica means ant), acetic acid $\left(\mathrm{CH_3} \mathrm{COOH}\right)$ from vinegar (Latin: acetum, means vinegar), butyric acid $\left(\mathrm{CH_3} \mathrm{CH_2} \mathrm{CH_2} \mathrm{COOH}\right)$ from rancid butter (Latin: butyrum, means butter).
In the IUPAC system, aliphatic carboxylic acids are named by replacing the ending $-e$ in the name of the corresponding alkane with oic acid. In numbering the carbon chain, the carboxylic carbon is numbered one. For naming compounds containing more than one carboxyl group, the alkyl chain leaving carboxyl groups is numbered and the number of carboxyl groups is indicated by adding the multiplicative prefix, dicarboxylic acid, tricarboxylic acid, etc. to the name of parent alkyl chain. The position of $-\mathrm{COOH}$ groups are indicated by the arabic numeral before the multiplicative prefix. Some of the carboxylic acids along with their common and IUPAC names are listed in Table 8.3.
Table 8.3 Names and Structures of Some Carboxylic Acids
8.6.2 Structure of Carboxyl Group [230]
In carboxylic acids, the bonds to the carboxyl carbon lie in one plane and are separated by about $120^{\circ}$. The carboxylic carbon is less electrophilic than carbonyl carbon because of the possible resonance structure shown below:
Intext Question
12.6 Give the IUPAC names of the following compounds:
(i) ${Ph} {CH_2} {CH_2} {COOH}$
(ii) $\left({CH_3}\right)_{2} {C}={CHCOOH}$
Show Answer
Answer
(i) 3-Phenylpropanoic acid
(ii) 3-Methylbut-2-enoic acid
(iii) 2-Methylcyclopentanecarboxylic acid
(iv) 2, 4, 6-Trinitrobenzoic acid
8.7 Methods of Preparation of Carboxylic Acids [245-248]
Some important methods of preparation of carboxylic acids are as follows.
1. From primary alcohols and aldehydes
Primary alcohols are readily oxidised to carboxylic acids with common oxidising agents such as potassium permanganate $\left(\mathrm{KMnO_4}\right)$ in neutral, acidic or alkaline media or by potassium dichromate $\left(\mathrm{K_2} \mathrm{Cr_2} \mathrm{O_7}\right)$ and chromium trioxide $\left(\mathrm{CrO_3}\right)$ in acidic media (Jones reagent).
$$ \begin{aligned} & \mathrm{RCH_2} \mathrm{OH} \xrightarrow[2 \cdot \mathrm{H_3} \mathrm{O}]{\text { l. alkaline } \mathrm{KMnO_4}} \mathrm{RCOOH} \\ & \underset{\substack{\text { 1-Decanol }}}{\mathrm{CH_3}\left(\mathrm{CH_2}\right)_8 \mathrm{CH_2} \mathrm{OH}} \mathrm{CrO_3} \xrightarrow [\text { Jones reagent }]{\mathrm{H_2} \mathrm{SO_4}} \underset{\text { Decanoic acid }}{\mathrm{CH_3}\left(\mathrm{CH_2}\right)_8 \mathrm{COOH}} \end{aligned} $$
Carboxylic acids are also prepared from aldehydes by the use of mild oxidising agents (Section 8.4).
2. From alkylbenzenes
Aromatic carboxylic acids can be prepared by vigorous oxidation of alkyl benzenes with chromic acid or acidic or alkaline potassium permanganate. The entire side chain is oxidised to the carboxyl group irrespective of length of the side chain. Primary and secondary alkyl groups are oxidised in this manner while tertiary group is not affected. Suitably substituted alkenes are also oxidised to carboxylic acids with these oxidising reagents (refer Unit 13, Class XI).
3. From nitriles and amides
Nitriles are hydrolysed to amides and then to acids in the presence of $\mathrm{H}^{+}$ or $\mathrm{OH}$ as catalyst. Mild reaction conditions are used to stop the reaction at the amide stage.
4. From Grignard reagents
Grignard reagents react with carbon dioxide (dry ice) to form salts of carboxylic acids which in turn give corresponding carboxylic acids after acidification with mineral acid.
As we know, the Grignard reagents and nitriles can be prepared from alkyl halides (refer Unit 6, Class XII). The above methods (3 and 4) are useful for converting alkyl halides into corresponding carboxylic acids having one carbon atom more than that present in alkyl halides (ascending the series).
5. From acyl halides and anhydrides
Acid chlorides when hydrolysed with water give carboxylic acids or more readily hydrolysed with aqueous base to give carboxylate ions which on acidification provide corresponding carboxylic acids. Anhydrides on the other hand are hydrolysed to corresponding acid(s) with water.
6. From esters
Acidic hydrolysis of esters gives directly carboxylic acids while basic hydrolysis gives carboxylates, which on acidification give corresponding carboxylic acids.
Example 8.5
(i) Butan-1-ol to butanoic acid
(ii) Benzyl alcohol to phenylethanoic acid
(iii) 3-Nitrobromobenzene to 3-nitrobenzoic acid
(iv) 4-Methylacetophenone to benzene-1,4-dicarboxylic acid
(v) Cyclohexene to hexane-1,6-dioic acid
(vi) Butanal to butanoic acid.
Solution
Intext Question
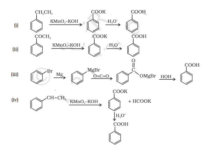
12.7 Show how each of the following compounds can be converted to benzoic acid.
(i) Ethylbenzene
(ii) Acetophenone
(iii) Bromobenzene
(iv) Phenylethene (Styrene)
Show Answer
Answer
12.8 Which acid of each pair shown here would you expect to be stronger?
(i) ${CH}_3 {CO}_2 {H}$ or ${CH}_2 {FCO}_2 {H}$
(ii) ${CH}_2 {FCO}_2 {H}$ or ${CH}_2 {ClCO}_2 {H}$
(iii) ${CH}_2 {FCH}_2 {CH}_2 {CO}_2 {H}$ or ${CH}_3 {CHFCH}_2 {CO}_2 {H}$

Show Answer
Answer
8.8 Physical Properties [235-236]
Aliphatic carboxylic acids upto nine carbon atoms are colourless liquids at room temperature with unpleasant odours. The higher acids are wax like solids and are practically odourless due to their low volatility. Carboxylic acids are higher boiling liquids than aldehydes, ketones and even alcohols of comparable molecular masses. This is due to more extensive association of carboxylic acid molecules through intermolecular hydrogen bonding. The hydrogen bonds are not broken completely even in the vapour phase. In fact, most carboxylic acids exist as dimer in the vapour phase or in the aprotic solvents.
Simple aliphatic carboxylic acids having upto four carbon atoms are miscible in water due to the formation of hydrogen bonds with water. The solubility decreases with increasing number of carbon atoms. Higher carboxylic acids are practically insoluble in water due to the increased hydrophobic interaction of hydrocarbon part. Benzoic acid, the simplest aromatic carboxylic acid is nearly insoluble in cold water. Carboxylic acids are also soluble in less polar organic solvents like benzene, ether, alcohol, chloroform, etc.
8.9 Chemical Reactions [236-243]
The reaction of carboxylic acids are classified as follows:
8.9.1 Reactions Involving Cleavage of $\mathrm{O}-\mathrm{H}$ Bond [249-251]
Acidity
Reactions with metals and alkalies
The carboxylic acids like alcohols evolve hydrogen with electropositive metals and form salts with alkalies similar to phenols. However, unlike phenols they react with weaker bases such as carbonates and hydrogencarbonates to evolve carbon dioxide. This reaction is used to detect the presence of carboxyl group in an organic compound.
$$ \begin{aligned} & 2 \mathrm{R}-\mathrm{COOH}+2 \mathrm{Na} \longrightarrow \underset{\text { Sodium carboxylate }}{2 \mathrm{R}-\mathrm{CO} \overline{\mathrm{O}} \mathrm{Na}}+\mathrm{H} _{2} \\ \end{aligned} $$
$$ \begin{aligned} & \mathrm{R}-\mathrm{COOH}+\mathrm{NaOH} \longrightarrow \mathrm{R}-\mathrm{COO} \mathrm{N}^{+}+\mathrm{H} _{2} \mathrm{O} \\ & \mathrm{R}-\mathrm{COOH}+\mathrm{NaHCO} _{3} \longrightarrow \mathrm{R}-\mathrm{CO} \overline{\mathrm{O} N} \mathrm{Na}^{+}+\mathrm{H} _{2} \mathrm{O}+\mathrm{CO} _{2} \end{aligned} $$
Carboxylic acids dissociate in water to give resonance stabilised carboxylate anions and hydronium ion.
For the above reaction:
$$ K_{e q}=\frac{\left[\stackrel{+}{\mathrm{H_3}}\right][\mathrm{RCO} \stackrel{-}{\mathrm{O}}]}{\left[\mathrm{H_2} \mathrm{O}\right][\mathrm{RCOOH}]} \quad K_{a}=K_{e q}\left[\mathrm{H_2} \mathrm{O}\right]=\frac{[\stackrel{+}{\mathrm{H}}][\mathrm{RCO} \stackrel{-}{\mathrm{RC}}]}{[\mathrm{RCOOH}]} $$
where $K_{e q}$, is equilibrium constant and $K_{a}$ is the acid dissociation constant.
For convenience, the strength of an acid is generally indicated by its $\mathrm{p} K_{a}$ value rather than its $K_{a}$ value.
$$ \mathrm{p} K_{a}=-\log K_{a} $$
The $\mathrm{p} K_{a}$ of hydrochloric acid is -7.0 , where as $\mathrm{p} K_{a}$ of trifluoroacetic acid (the strongest carboxylic acid), benzoic acid and acetic acid are $0.23,4.19$ and 4.76, respectively.
Smaller the $\mathrm{p} K_{a}$, the stronger the acid (the better it is as a proton donor). Strong acids have $\mathrm{p} K_{a}$ values $< 1$, the acids with $\mathrm{p} K_{a}$ values between 1 and 5 are considered to be moderately strong acids, weak acids have $\mathrm{p} K_{a}$ values between 5 and 15, and extremely weak acids have $\mathrm{p} K_{a}$ values $>15$.
Carboxylic acids are weaker than mineral acids, but they are stronger acids than alcohols and many simple phenols ( $\mathrm{p} K_{a}$ is $\sim 16$ for and 10 for phenol). In fact, carboxylic acids are amongst the most acidic organic compounds you have studied so far. You already know why phenols are more acidic than alcohols. The higher acidity of carboxylic acids as compared to phenols can be understood similarly. The conjugate base of carboxylic acid, a carboxylate ion, is stabilised by two equivalent resonance structures in which the negative charge is at the more electronegative oxygen atom. The conjugate base of phenol, a phenoxide ion, has non-equivalent resonance structures in which the negative charge is at the less electronegative carbon atom. Therefore, resonance in phenoxide ion is not as important as it is in carboxylate ion. Further, the negative charge is delocalised over two electronegative oxygen atoms in carboxylate ion whereas it is less effectively delocalised over one oxygen atom and less electronegative carbon atoms in phenoxide ion (Unit 11, Class XII). Thus, the carboxylate ion is more stabilised than phenoxide ion, so carboxylic acids are more acidic than phenols.
Effect of substituents on the acidity of carboxylic acids: Substituents may affect the stability of the conjugate base and thus, also affect the acidity of the carboxylic acids. Electron withdrawing groups increase the acidity of carboxylic acids by stabilising the conjugate base through delocalisation of the negative charge by inductive and/or resonance effects. Conversely, electron donating groups decrease the acidity by destabilising the conjugate base.
![]()
Electron withdrawing group (EWG) stabilises the carboxylate anion and strengthens the acid
![]()
Electron donating group (EDG) destabilises the carboxylate anion and weakens the acid
The effect of the following groups in increasing acidity order is $\mathrm{Ph}<\mathrm{I}<\mathrm{Br}<\mathrm{Cl}<\mathrm{F}<\mathrm{CN}<\mathrm{NO_2}<\mathrm{CF_3}$
Thus, the following acids are arranged in order of increasing acidity (based on pKa values):
$ \begin{array}{l} \mathrm{CF_3COOH > CCl_3COOH > CHCl_2COOH > NO_2CH_2COOH > NC-CH_2COOH >} \\ \xleftarrow{} \end{array} $
$ \begin{array}{l} \mathrm{FCH_2COOH > ClCH_2COOH > BrCH_2COOH > HCOOH > ClCH_2CH_2COOH >} \\ \text{(continue) } \xleftarrow{} \end{array} $
$ \begin{array}{l} \mathrm{C_6H_5COOH > C_6H_5CH_2COOH > CH_3COOH > CH_3CH_2COOH} \\ \text{(continue) } \xleftarrow{} \end{array} $
Direct attachment of groups such as phenyl or vinyl to the carboxylic acid, increases the acidity of corresponding carboxylic acid, contrary to the decrease expected due to resonance effect shown below:
This is because of greater electronegativity of $s p^{2}$ hybridised carbon to which carboxyl carbon is attached. The presence of electron withdrawing group on the phenyl of aromatic carboxylic acid increases their acidity while electron donating groups decrease their acidity.
8.9.2 Reactions Involving Cleavage of $\mathbf{C}-\mathbf{O H}$ Bond [251-253]
1. Formation of anhydride
Carboxylic acids on heating with mineral acids such as $\mathrm{H_2} \mathrm{SO_4}$ or with $\mathrm{P_2} \mathrm{O_5}$ give corresponding anhydride.
2. Esterification
Carboxylic acids are esterified with alcohols or phenols in the presence of a mineral acid such as concentrated $\mathrm{H_2} \mathrm{SO_4}$ or $\mathrm{HCl}$ gas as a catalyst.
$$ \mathrm{RCOOH}+\mathrm{R}^{\prime} \mathrm{OH} \rightleftharpoons \stackrel{\mathrm{H}^{+}}{\rightleftharpoons} \mathrm{RCOOR}^{\prime}+\mathrm{H_2} \mathrm{O} $$
Mechanism of esterification of carboxylic acids:
The esterification of carboxylic acids with alcohols is a kind of nucleophilic acyl substitution. Protonation of the carbonyl oxygen activates the carbonyl group towards nucleophilic addition of the alcohol. Proton transfer in the tetrahedral intermediate converts the hydroxyl group into –+OH2 group, which, being a better leaving group, is eliminated as neutral water molecule. The protonated ester so formed finally loses a proton to give the ester.
![]()
3. Reactions with $\mathrm{PCl_5}, \mathrm{PCl_3}$ and $\mathrm{SOCl_2}$
The hydroxyl group of carboxylic acids, behaves like that of alcohols and is easily replaced by chlorine atom on treating with $\mathrm{PCl_5}, \mathrm{PCl_3}$ or $\mathrm{SOCl_2}$. Thionyl chloride $\left(\mathrm{SOCl_2}\right)$ is preferred because the other two products are gaseous and escape the reaction mixture making the purification of the products easier.
$$ \begin{aligned} & \mathrm{RCOOH}+\mathrm{PCl} _{5} \longrightarrow \mathrm{RCOCl}+\mathrm{PCl} _{3}+\mathrm{HCl} \\ & 3 \mathrm{RCOOH}+\mathrm{PCl} _{3} \longrightarrow 3 \mathrm{RCOCl}+\mathrm{H} _{3} \mathrm{PO} _{3} \\ & \mathrm{RCOOH}+\mathrm{SOCl} _{2} \longrightarrow \mathrm{RCOCl}+\mathrm{SO} _{2}+\mathrm{HCl} \end{aligned} $$
4. Reaction with ammonia
Carboxylic acids react with ammonia to give ammonium salt which on further heating at high temperature give amides. For example:
8.9.3 Reactions Involving $(-\mathrm{COOH})$ Group [253]
1. Reduction
Carboxylic acids are reduced to primary alcohols by lithium aluminium hydride or better with diborane. Diborane does not easily reduce functional groups such as ester, nitro, halo, etc. Sodium borohydride does not reduce the carboxyl group.
$$ \text { R-COOH } \xrightarrow[\text { (ii) } \mathrm{H_3} \mathrm{O}^{+}]{\text {(i) } \mathrm{LiAlH_4} / \text { ether } \quad \text { or } \mathrm{B_2} \mathrm{H_6}} \mathrm{R}-\mathrm{CH_2} \mathrm{OH} $$
2. Decarboxylation
Carboxylic acids lose carbon dioxide to form hydrocarbons when their sodium salts are heated with sodalime (NaOH and CaO in the ratio of 3 : 1). The reaction is known as decarboxylation.
$$\mathrm{R-COONa} \xrightarrow [\mathrm {NaOH ~& ~CaO}]{\mathrm{Heat}} \mathrm{R-H+Na_2CO_3}$$
Alkali metal salts of carboxylic acids also undergo decarboxylation on electrolysis of their aqueous solutions and form hydrocarbons having twice the number of carbon atoms present in the alkyl group of the acid. The reaction is known as Kolbe electrolysis (Unit 9, Class XI).
8.9.4 Substitution Reactions in the Hydrocarbon Part [253-254]
1. Halogenation
Carboxylic acids having an $\alpha$-hydrogen are halogenated at the $\alpha$-position on treatment with chlorine or bromine in the presence of small amount of red phosphorus to give $\alpha$-halocarboxylic acids. The reaction is known as Hell-Volhard-Zelinsky reaction.
2. Ring substitution
Aromatic carboxylic acids undergo electrophilic substitution reactions in which the carboxyl group acts as a deactivating and meta-directing group. They however, do not undergo Friedel-Crafts reaction (because the carboxyl group is deactivating and the catalyst aluminium chloride (Lewis acid) gets bonded to the carboxyl group).
Intext Question
8.8 Which acid of each pair shown here would you expect to be stronger?
(i) $\mathrm{CH} _{3} \mathrm{CO} _{2} \mathrm{H}$ अथवा $\mathrm{CH} _{2} \mathrm{FCO} _{2} \mathrm{H}$
(ii) $\mathrm{CH} _{2} \mathrm{FCO} _{2} \mathrm{H}$ अथवा $\mathrm{CH} _{2} \mathrm{ClCO} _{2} \mathrm{H}$
(iii) $\mathrm{CH} _{2} \mathrm{FCH} _{2} \mathrm{CH} _{2} \mathrm{CO} _{2} \mathrm{H}$ अथवा $\mathrm{CH} _{3} \mathrm{CHFCH} _{2} \mathrm{CO} _{2} \mathrm{H}$
(iv) 
8.10 Uses of Carboxylic Acids [254]
Methanoic acid is used in rubber, textile, dyeing, leather and electroplating industries. Ethanoic acid is used as solvent and as vinegar in food industry. Hexanedioic acid is used in the manufacture of nylon-6, 6. Esters of benzoic acid are used in perfumery. Sodium benzoate is used as a food preservative. Higher fatty acids are used for the manufacture of soaps and detergents.
Summary
Aldehydes, ketones and carboxylic acids are some of the important classes of organic compounds containing carbonyl group. These are highly polar molecules. Therefore, they boil at higher temperatures than the hydrocarbons and weakly polar compounds such as ethers of comparable molecular masses. The lower members are more soluble in water because they form hydrogen bonds with water. The higher members, because of large size of hydrophobic chain of carbon atoms, are insoluble in water but soluble in common organic solvents. Aldehydes are prepared by dehydrogenation or controlled oxidation of primary alcohols and controlled or selective reduction of acyl halides. Aromatic aldehydes may also be prepared by oxidation of (i) methylbenzene with chromyl chloride or $\mathrm{CrO_3}$ in the presence of acetic anhydride, (ii) formylation of arenes with carbon monoxide and hydrochloric acid in the presence of anhydrous aluminium chloride, and (iii) cuprous chloride or by hydrolysis of benzal chloride. Ketones are prepared by oxidation of secondary alcohols and hydration of alkynes. Ketones are also prepared by reaction of acyl chloride with dialkylcadmium. A good method for the preparation of aromatic ketones is the Friedel-Crafts acylation of aromatic hydrocarbons with acyl chlorides or anhydrides. Both aldehydes and ketones can be prepared by ozonolysis of alkenes. Aldehydes and ketones undergo nucleophilic addition reactions onto the carbonyl group with a number of nucleophiles such as, $\mathrm{HCN}, \mathrm{NaHSO_3}$, alcohols (or diols), ammonia derivatives, and Grignard reagents. The $\alpha$-hydrogens in aldehydes and ketones are acidic. Therefore, aldehydes and ketones having at least one $\alpha$-hydrogen, undergo Aldol condensation in the presence of a base to give $\alpha$-hydroxyaldehydes (aldol) and $\alpha$-hydroxyketones(ketol), respectively. Aldehydes having no $\alpha$-hydrogen undergo Cannizzaro reaction in the presence of concentrated alkali. Aldehydes and ketones are reduced to alcohols with $\mathrm{NaBH_4}, \mathrm{LiAlH_4}$, or by catalytic hydrogenation. The carbonyl group of aldehydes and ketones can be reduced to a methylene group by Clemmensen reduction or Wolff-Kishner reduction. Aldehydes are easily oxidised to carboxylic acids by mild oxidising reagents such as Tollens’ reagent and Fehling’s reagent. These oxidation reactions are used to distinguish aldehydes from ketones. Carboxylic acids are prepared by the oxidation of primary alcohols, aldehydes and alkenes by hydrolysis of nitriles, and by treatment of Grignard reagents with carbon dioxide. Aromatic carboxylic acids are also prepared by side-chain oxidation of alkylbenzenes. Carboxylic acids are considerably more acidic than alcohols and most of simple phenols. Carboxylic acids are reduced to primary alcohols with $\mathrm{LiAlH_4}$, or better with diborane in ether solution and also undergo $\alpha$-halogenation with $\mathrm{Cl_2}$ and $\mathrm{Br_2}$ in the presence of red phosphorus (Hell-Volhard Zelinsky reaction). Methanal, ethanal, propanone, benzaldehyde, formic acid, acetic acid and benzoic acid are highly useful compounds in industry.
Exercises
12.1 What is meant by the following terms ? Give an example of the reaction in each case.
(i) Cyanohydrin
(ii) Acetal
(iii) Semicarbazone
(iv) Aldol
(v) Hemiacetal
(vi) Oxime
(vii) Ketal
(viii) Imine
(ix) 2,4-DNP-derivative
(x) Schiff’s base
Show Answer
Answer
(i) Cyanohydrin :
Compounds possessing hydroxyl and cyano groups on the same carbon atom are called cyanohydrins. These are produced by addition of HCN to aldehydes or ketones in weakly basic medium.
(ii) Acetal : Acetals are gem - dialkoxy alkanes in which two alkoxy groups are present on the terminal carbon atom. One bond is connected to an alkyl group while the other is connected to a hydrogen atom.
General structure of an acetal
Aldehydes react with one equivalent of monohydric alcohol in the presence of dry hydrogen chloride to yield alkoxyalcohol intermediate, known as hemiacetals, which further react with one more molecule of alcohol to give a gem-dialkoxy compound known as acetal as shown in the reaction
(iii) Semicarbarbazone :
Semicarbazones are derivatives of aldehydes and ketones produced by the condensation reaction between a ketone or aldehyde and semicarbazide.
Semicarbazones are useful for identification and characterization of aldehydes and ketones.
(iv) Aldol :
$\beta-$ hydroxy aldehyde or ketone is known as an aldol. Aldehydes and ketones having at least one a-hydrogen undergo a reaction in the presence of dilute alkali as catalyst to form $\beta$-hydroxy aldehydes (aldol) or $\beta$-hydroxy ketones (ketol), respectively.
(v) Hemiacetal :
Hemiacetals are $\alpha$ - alkoxyalcohols
General structure of a hemiacetal
Aldehydes react with one equivalent of monohydric alcohol in the presence of dry hydrogen chloride to yield alkoxyalcohol intermediate, known as hemiacetals.
(vi) Oxime :
Oximes are a class of organic compounds having the general formula ${RR’} {C=N-OH}$, where ${R}$ is an organic side chain and ${R’}$ is either hydrogen or an organic side chain. If ${R’}$ is ${H}$, then it is known as aldoxime and if ${R’}$ is an organic side chain, it is known as ketoxime.
On treatment with hydroxylamine in a weakly acidic medium, aldehydes or ketones form oximes.
(vii) Ketal :
Ketals are gem - dialkoxyalkanes in which two alkoxy groups are present on the same carbon atom within the chain. The other two bonds of the carbon atom are connected to two alkyl groups.
General structure of a ketal
Ketones react with ethylene glycol in the presence of dry ${HCl}$ gas to give a cyclic product known as ethylene glycol ketals.
(viii) Imine :
Imines are chemical compounds containing a carbon nitrogen double bond.
General structure of an imine
Imines are produced when aldehydes and ketones react with ammonia and its derivatives.
(ix) 2, 4 - DNP - derivative:
2, 4 - dinitrophenylhydrazones are 2,4 - DNP - derivatives, which are produced when aldehydes or ketones react with 2, 4 - dinitrophenylhydrazine in a weakly acidic medium.
To identify and characterize aldehydes and ketones, 2, 4 - DNP derivatives are used.
(x) Schiff’s base :
Schiff’s base is a chemical compound containing a carbon-nitrogen double bond with the nitrogen atom connected to an aryl or alkyl group-but not hydrogen. They have the general formula ${R_1} {R_2} {C}={NR_3}$. Hence, it is an imine.
It is named after a scientist, Hugo Schiff.
General structure of schiff’s base
Aldehydes and ketones on treatment with primary aliphatic or aromatic amines in the presence of trace of an acid yields a Schiff’s base.
12.2 Name the following compounds according to IUPAC system of nomenclature:
(i) ${CH_3} {CH}\left({CH_3}\right) {CH_2} {CH_2} {CHO}$
(ii) ${CH_3} {CH_2} {COCH}\left({C_2} {H_5}\right) {CH_2} {CH_2} {Cl}$
(iii) ${CH_3} {CH}={CHCHO}$
(iv) ${CH_3} {COCH_2} {COCH_3}$
(v) ${CH_3} {CH}\left({CH_3}\right) {CH_2} {C}\left({CH_3}\right)_{2} {COCH_3}$
(vi) $\left({CH_3}\right)_{3} {CCH_2} {COOH}$
(vii) ${OHCC_6} {H_4} {CHO}-p$
Show Answer
Answer
(i) 4-methylpentanal
(ii) 6-Chloro-4-ethylhexan-3-one
(iii) But-2-en-1-al
(iv) Pentane-2,4-dione
(v) 3,3,5-Trimethylhexan-2-one
(vi) 3,3-Dimethylbutanoic acid
(vii) Benzene-1,4-dicarbaldehyde
12.3 Draw the structures of the following compounds.
(i) 3-Methylbutanal
(ii) $p$-Nitropropiophenone
(iii) $p$-Methylbenzaldehyde
(iv) 4-Methylpent-3-en-2-one
(v) 4-Chloropentan-2-one
(vi) 3-Bromo-4-phenylpentanoic acid
(vii) p,p’-Dihydroxybenzophenone
(viii) Hex-2-en-4-ynoic acid
Show Answer
Answer
(i)
(ii)
(iii)
(iv)
(v)
(vi)
(vii)
(viii)
12.4 Write the IUPAC names of the following ketones and aldehydes. Wherever possible, give also common names.
(i) ${CH_3} {CO}\left({CH_2}\right)_{4} {CH_3}$
(ii) ${CH_3} {CH_2} {CHBrCH_2} {CH}\left({CH_3}\right) {CHO}$
(iii) ${CH_3}\left({CH_2}\right)_{5} {CHO}$
(iv) ${Ph}-{CH}={CH}-{CHO}$
(v)
(vi) ${PhCOPh}$
Show Answer
Answer
(i) ${CH_3} {CO}\left({CH_2}\right)_{4} {CH_3}$
IUPAC name: Heptan-2-one
Common name: Methyl n-pentyl ketone
(ii) ${CH_3} {CH_2} {CHBrCH_2} {CH}\left({CH_3}\right) {CHO}$
IUPAC name: 4-Bromo-2-methylhaxanal
Common name: ($\gamma$-Bromo-$\alpha$-methyl-caproaldehyde)
(iii) ${CH_3}\left({CH_2}\right)_{5} {CHO}$
IUPAC name: Heptanal
Common name : $n-$ heptaldehyde
(iv) ${Ph}-{CH}={CH}-{CHO}$
IUPAC name : 3-phenylprop-2-enal
Common name : $\beta-$ Pheynolacrolein
(v)
IUPAC name: Cyclopentanecarbaldehyde
Common name : 1-formylcyclopentane
(vi) ${PhCOPh}$
IUPAC name : Diphenylmethanone
Common name : Benzophenone
12.5 Draw structures of the following derivatives.
(i) The 2,4-dinitrophenylhydrazone of benzaldehyde
(ii) Cyclopropanone oxime
(iii) Acetaldehydedimethylacetal
(iv) The semicarbazone of cyclobutanone
(v) The ethylene ketal of hexan-3-one
(vi) The methyl hemiacetal of formaldehyde
Show Answer
Answer
(i)
(ii)
(iii)
(iv)
(v)
(vi)
12.6 Predict the products formed when cyclohexanecarbaldehyde reacts with following reagents.
(i) ${PhMgBr}$ and then ${H_3} {O}^{+}$
(ii) Tollens’ reagent
(iii) Semicarbazide and weak acid
(iv) Excess ethanol and acid
(v) Zinc amalgam and dilute hydrochloric acid
Show Answer
Answer
(i)
(ii)
(iii)
(iv)
(v)
12.7 Which of the following compounds would undergo aldol condensation, which the Cannizzaro reaction and which neither? Write the structures of the expected products of aldol condensation and Cannizzaro reaction.
(i) Methanal
(ii) 2-Methylpentanal
(iii) Benzaldehyde
(iv) Benzophenone
(v) Cyclohexanone
(vi) 1-Phenylpropanone
(vii) Phenylacetaldehyde
(viii) Butan-1-ol
(ix) 2,2-Dimethylbutanal
Show Answer
Answer
Aldehydes and ketones having at least one $\alpha$-hydrogen undergo aldol condensation. The compounds (ii) 2methylpentanal, (v) cyclohexanone, (vi) 1-phenylpropanone, and (vii) phenylacetaldehyde contain one or more $\alpha$ hydrogen atoms. Therefore, these undergo aldol condensation.
Aldehydes having no $\alpha$-hydrogen atoms undergo Cannizzaro reactions. The compounds (i) Methanal, (iii) Benzaldehyde, and (ix) 2, 2-dimethylbutanal do not have any a-hydrogen. Therefore, these undergo cannizzaro reactions.
Compound (iv) Benzophenone is a ketone having no $\alpha$-hydrogen atom and compound (viii) Butan-1-ol is an alcohol. Hence, these compounds do not undergo either aldol condensation or cannizzaro reactions.
Aldol condensation
(ii)
(v)
(vi)
(vii)
Cannizzaro reaction
(i)
(iii)
(ix)
12.8 How will you convert ethanal into the following compounds?
(i) Butane-1,3-diol
(ii) But-2-enal
(iii) But-2-enoic acid
Show Answer
Answer
(i) On treatment with dilute alkali, ethanal produces 3-hydroxybutanal gives butane-1, 3-diol on reduction.
(ii) On treatment with dilute alkali, ethanal gives 3-hydroxybutanal which on heating produces but-2-enal.
(iii) When treated with Tollen’s reagent, But-2-enal produced in the above reaction produces but-2-enoic acid .
12.9 Write structural formulas and names of four possible aldol condensation products from propanal and butanal. In each case, indicate which aldehyde acts as nucleophile and which as electrophile.
Show Answer
Answer
(i) Taking two molecules of propanal, one which acts as a nucleophile and the other as an electrophile.
(ii) Taking two molecules of butanal, one which acts as a nucleophile and the other as an electrophile.
(iii) Taking one molecule each of propanal and butanal in which propanal acts as a nucleophile and butanal acts as an electrophile.
(iv) Taking one molecule each of propanal and butanal in which propanal acts as an electrophile and butanal acts as a nucleophile.
12.10 An organic compound with the molecular formula ${C_9} {H _{10}} {O}$ forms 2,4-DNP derivative, reduces Tollens’ reagent and undergoes Cannizzaro reaction. On vigorous oxidation, it gives 1,2-benzenedicarboxylic acid. Identify the compound.
Show Answer
Answer
It is given that the compound (with molecular formula ${C_9} {H _{10}} {O}$ ) forms 2, 4-DNP derivative and reduces Tollen’s reagent. Therefore, the given compound must be an aldehyde.
Again, the compound undergoes cannizzaro reaction and on oxidation gives 1, 2-benzenedicarboxylic acid. Therefore, the - ${CHO}$ group is directly attached to a benzene ring and this benzaldehyde is ortho-substituted. Hence, the compound is 2-ethylbenzaldehyde.
2-Ethylbenzaldehyde
The given reactions can be explained by the following equations.
12.11 An organic compound (A) (molecular formula ${C_8} {H_{16}} {O_2}$ ) was hydrolysed with dilute sulphuric acid to give a carboxylic acid (B) and an alcohol (C). Oxidation of (C) with chromic acid produced (B). (C) on dehydration gives but-1-ene. Write equations for the reactions involved.
Show Answer
Answer
An organic compound $A$ with molecular formula ${C_8} {H_{16}} {O_2}$ gives a carboxylic acid (B) and an alcohol (C) on hydrolysis with dilute sulphuric acid. Thus, compound $A$ must be an ester. Further, alcohol $C$ gives acid $B$ on oxidation with chromic acid. Thus, ${B}$ and ${C}$ must contain equal number of carbon atoms.
Since compound A contains a total of 8 carbon atoms, each of $B$ and $C$ contain 4 carbon atoms.
Again, on dehydration, alcohol C gives but-1-ene. Therefore, ${C}$ is of straight chain and hence, it is butan-1-ol.
On oxidation, Butan-1-ol gives butanoic acid. Hence, acid B is butanoic acid.
Hence, the ester with molecular formula ${C_8} {H_{16}} {O_2}$ is butylbutanoate.
All the given reactions can be explained by the following equations.
12.12 Arrange the following compounds in increasing order of their property as indicated:
(i) Acetaldehyde, Acetone, Di-tert-butyl ketone, Methyl tert-butyl ketone (reactivity towards ${HCN}$)
(ii) ${CH_3} {CH_2} {CH}({Br}) {COOH}, {CH_3} {CH}({Br}) {CH_2} {COOH},\left({CH_3}\right)_{2} {CHCOOH}$, ${CH_3} {CH_2} {CH_2} {COOH}$ (acid strength)
(iii) Benzoic acid, 4-Nitrobenzoic acid, 3,4-Dinitrobenzoic acid, 4-Methoxybenzoic acid (acid strength)
Show Answer
Answer
(i) When ${HCN}$ reacts with a compound, the attacking species is a nucleophile, ${CN}^{-}$. Therefore, as the negative charge on the compound increases, its reactivity with ${HCN}$ decreases. In the given compounds, the +I effect increases as shown below. It can be observed that steric hindrance also increases in the same
Hence, the given compounds can be arranged according to their increasing reactivities toward ${HCN}$ as:
Di-tert-butyl ketone $<$ Methyl tert-butyl ketone $<$ Acetone $<$ Acetaldehyde
(ii) After losing a proton, carboxylic acids gain a negative charge as shown:
$ {R}-{COOH} \longrightarrow {R}-{COO}^{-}+{H}^{+} $
Now, any group that will help stabilise the negative charge will increase the stability of the carboxyl ion and as a result, will increase the strength of the acid. Thus, groups having $+I$ effect will decrease the strength of the acids and groups having - I effect will increase the strength of the acids. In the given compounds, $-{CH_3}$ group has $+{I}$ effect and ${Br}$ group has - I effect. Thus, acids containing ${Br}$ are stronger.
Now, the $+l$ effect of isopropyl group is more than that of $n$-propyl group. Hence, $\left({CH_3}\right)_{2} {CHCOOH}$ is a weaker acid than ${CH_3} {CH_2} {CH_2} {COOH}$.
Also, the - I effect grows weaker as distance increases. Hence, ${CH_3} {CH}({Br}) {CH_2} {COOH}$ is a weaker acid than ${CH_3} {CH_2} {CH}({Br}) {COOH}$.
Hence, the strengths of the given acids increase as:
$\left({CH_3}\right)_{2} {CHCOOH}<{CH_3} {CH_2} {CH_2} {COOH}<{CH_3} {CH}({Br}) {CH_2} {COOH}<{CH_3} {CH_2} {CH}({Br}) {COOH}$
(iii) As we have seen in the previous case, electron-donating groups decrease the strengths of acids, while electronwithdrawing groups increase the strengths of acids. As methoxy group is an electron-donating group, 4methoxybenzoic acid is a weaker acid than benzoic acid. Nitro group is an electron-withdrawing group and will increase the strengths of acids. As 3,4-dinitrobenzoic acid contains two nitro groups, it is a slightly stronger acid than 4-nitrobenzoic acid. Hence, the strengths of the given acids increase as:
4-Methoxybenzoic acid $<$ Benzoic acid $<$ 4-Nitrobenzoic acid $<3$,4-Dinitrobenzoic acid
12.13 Give simple chemical tests to distinguish between the following pairs of compounds.
(i) Propanal and Propanone
(ii) Acetophenone and Benzophenone
(iii) Phenol and Benzoic acid
(iv) Benzoic acid and Ethyl benzoate
(v) Pentan-2-one and Pentan-3-one
(vi) Benzaldehyde and Acetophenone
(vii) Ethanal and Propanal
Show Answer
Answer
(i) Propanal and propanone can be distinguished by the following tests.
(a) Tollen’s test :
Propanal is an aldehyde. Thus, it reduces Tollen’s reagent. But, propanone being a ketone does not reduce Tollen’s reagent.
$\underset{\text{Propanal}}{{CH_3} {CH_2} {CHO}}+ \underset{\text{Tollen’s reagent}}{2\left[{Ag}\left({NH_3}\right)_{2}\right]^{+}+3 {OH}} \longrightarrow \underset{\text{Propanoate ion}}{{CH_3} {CH_2} {COO}^{-}}+\underset{\text{Silver mirror}}{{Ag} \downarrow}+4 {NH_3}+2 {H_2} {O}$
(b) Fehling’s test :
Aldehydes respond to Fehling’s test, but ketones do not.
Propanal being an aldehyde reduces Fehling’s solution to a red-brown precipitate of ${Cu_2} {O}$, but propanone being a ketone does not.
${\underset{\text{Propanal}}{CH_3CH_2CHO}+2Cu^{2+} +5OH^-} \longrightarrow {\underset{\text{Propanoate ion}}{CH_3CH_2COO^-}+ \underset{\substack{\text{Cuprous oxide }\\ \text{(Red -brown ppt)}}}{Cu_2O}+ 3H_2O}$
(c) lodoform test :
Aldehydes and ketones having at least one methyl group linked to the carbonyl carbon atom respond to iodoform test. They are oxidized by sodium hypoiodite (NaOI) to give iodoforms. Propanone being a methyl ketone responds to this test, but propanal does not.
${\underset{\text{Propane}}{CH_3COCH_3}+ 3 NaOI}\longrightarrow {\underset{\text{Sodium acetate}}{CH_3COONa}+\underset{\substack{\text{Iodoform}\\ \text{(Yellow ppt)}}}{{CHI_3}}+ 2NaOH}$
(ii) Acetophenone and Benzophenone can be distinguished using the iodoform test.
lodoform test :
Methyl ketones are oxidized by sodium hypoiodite to give yellow ppt. of iodoform. Acetophenone being a methyl ketone responds to this test, but benzophenone does not.
${\underset{\text{Acetophenone}}{C_6H_5COH_3}+\underset{\substack{\text{Sodium}\\ \text{hypoiodite}}}{3NaOI}} \longrightarrow {\underset{\substack{\text{Sodium}\\ \text{benzoate}}}{C_6H_5COONa} + \underset{\substack{\text{Iodoform}\\ \text{(yellow ppt)}}}{CHI_3} + 2NaOH}$
${\underset{\text{Benzophenone}}{C_6H_5COC_6H_5}+ NaOI}\longrightarrow \text{No yellow ppt of } {CHI_3}$
(iii) Phenol and benzoic acid can be distinguished by ferric chloride test.
Ferric chloride test :
Phenol reacts with neutral ${FeCl_3}$ to form an iron-phenol complex giving violet colouration.
$ \underset{\text { Phenol }}{6 {C_6} {H_5} {OH}+} {FeCl_3} \longrightarrow \underset{\substack{\text { Iron-phenol complex } \\ \text { (Violet colour) }}}{\left[{Fe}\left({OC_6} {H_5}\right)_{6}\right]^{3-}}+3 {H}^{+}+3 {Cl}^{-} $
But benzoic acid reacts with neutral ${FeCl_3}$ to give a buff coloured ppt. of ferric benzoate.
$ \underset{\text { Benzoic acid }}{3 {C_6H_5}OH}+{FeCl_3} \longrightarrow \underset{\substack{\text{Ferric benzoate} \\ \text{(Buff coloured ppt)}}}{{(C_6H_5COO)_3Fe}} + {3HCl} $
(iv) Benzoic acid and Ethyl benzoate can be distinguished by sodium bicarbonate test.
Sodium bicarbonate test :
Acids react with ${NaHCO_3}$ to produce brisk effervescence due to the evolution of ${CO_2}$ gas.
Benzoic acid being an acid responds to this test, but ethylbenzoate does not.
${\underset{\text{Benzoic acid}}{C_6H_5COOH}+ NaHCO_3} \longrightarrow {\underset{\text{Sodium benzoate}}{C_6H_5COONa} + CO_2 \uparrow + H_2O}$
${C_6H_5COOC_2H_5 + NaHCO_3 \longrightarrow } \text{No effervescence due to evolution of } {CO_2} \text{ gas}$
(v) Pentan-2-one and pentan-3-one can be distinguished by iodoform test.
lodoform test :
Pentan-2-one is a methyl ketone. Thus, it responds to this test. But pentan-3-one not being a methyl ketone does not respond to this test.
(vi) Benzaldehyde and acetophenone can be distinguished by the following tests.
(a) Tollen’s Test
Aldehydes respond to Tollen’s test. Benzaldehyde being an aldehyde reduces Tollen’s reagent to give a red-brown precipitate of ${Cu_2} {O}$, but acetophenone being a ketone does not.
$\underset{\text{Benzaldehyde}}{{C_6H_5CHO}} + \underset{\text{Tollen’s reagen}}{{2[Ag(NH_3)_2]^+}} + {3OH^-} \longrightarrow \underset{\text{Benzoate ion}}{{C_6H_5COO^-}} + \underset{\text{Silver mirror}}{{Ag \downarrow}}+ {4NH_3 + 2H_2O}$
Benzaldehyde Tollen’s reagent Benzoate ion Silver mirror
(b) lodoform test
Acetophenone being a methyl ketone undergoes oxidation by sodium hypoiodite ( ${NaOI}$ ) to give a yellow ppt. of iodoform. But benzaldehyde does not respond to this test.
$\underset{\text{Acetophenone}}{{C_6} {H_5} {COCH_3}}+3 {NaOI} \longrightarrow \underset{\text{Sodium benzoate}}{{C_6} {H_5} {COONa}}+ \underset{\substack{\text{Iodoform}\\ \text{(Yellow ppt)}}}{{CHI_3}}+2 {NaOH}$
(vii) Ethanal and propanal can be distinguished by iodoform test.
lodoform test
Aldehydes and ketones having at least one methyl group linked to the carbonyl carbon atom responds to the iodoform test. Ethanal having one methyl group linked to the carbonyl carbon atom responds to this test. But propanal does not have a methyl group linked to the carbonyl carbon atom and thus, it does not respond to this state.
$ \underset{\text{Ethanal}}{{CH_3CHO}} + {3NaOI} \longrightarrow \underset{\substack{\text{Sodium}\\ \text{methanoate}}}{{HCOONa}} + \underset{\substack{\text{Iodoform}\\ \text{(yellow ppt)}}}{{CHI_3}} + {2NaOH} $
12.14 How will you prepare the following compounds from benzene? You may use any inorganic reagent and any organic reagent having not more than one carbon atom
(i) Methyl benzoate
(ii) $m$-Nitrobenzoic acid
(iii) $p$-Nitrobenzoic acid
(iv) Phenylacetic acid
(v) $p$-Nitrobenzaldehyde.
Show Answer
Answer
(i)
(ii)
(iii)
(iv)
(v)
12.15 How will you bring about the following conversions in not more than two steps?
(i) Propanone to Propene
(ii) Benzoic acid to Benzaldehyde
(iii) Ethanol to 3-Hydroxybutanal
(iv) Benzene to $m$-Nitroacetophenone
(v) Benzaldehyde to Benzophenone
(vi) Bromobenzene to 1-Phenylethanol
(vii) Benzaldehyde to 3-Phenylpropan-1-ol
(viii) Benazaldehyde to $\alpha$-Hydroxyphenylacetic acid
(ix) Benzoic acid to $m$-Nitrobenzyl alcohol
Show Answer
Answer
(i)
(ii)
(iii)
(iv)
(v)
(vi)
(vii)
(viii)
(ix)
12.16 Describe the following:
(i) Acetylation
(ii) Cannizzaro reaction
(iii) Cross aldol condensation
(iv) Decarboxylation
Show Answer
Answer
(i) Acetylation
The introduction of an acetyl functional group into an organic compound is known as acetylation. It is usually carried out in the presence of a base such as pyridine, dirnethylaniline, etc. This process involves the substitution of an acetyl group for an active hydrogen atom. Acetyl chloride and acetic anhydride are commonly used as acetylating agents.
For example, acetylation of ethanol produces ethyl acetate.
$\underset{\text{Ethanol}}{{CH_3} {CH_2} {OH}}+\underset{\substack{\text{Acetyl}\\ \text{chloride}}}{{CH_3} {COCl}} \xrightarrow{\text { Pyridine }} \underset{\text{Ethylacetate}}{{CH_3} {COOC_2} {H_5}}+{HCl}$
(ii) Cannizzaro reaction :
The self oxidation-reduction (disproportionation) reaction of aldehydes having no $\alpha$-hydrogens on treatment with concentrated alkalis is known as the Cannizzaro reaction. In this reaction, two molecules of aldehydes participate where one is reduced to alcohol and the other is oxidized to carboxylic acid.
For example, when ethanol is treated with concentrated potassium hydroxide, ethanol and potassium ethanoate are produced.
(iii) Cross-aldol condensation :
When aldol condensation is carried out between two different aldehydes, or two different ketones, or an aldehyde and a ketone, then the reaction is called a cross-aldol condensation. If both the reactants contain $\alpha$-hydrogens, four compounds are obtained as products.
For example, ethanal and propanal react to give four products.
(iv) Decarboxylation :
Decarboxylation refers to the reaction in which carboxylic acids lose carbon dioxide to form hydrocarbons when their sodium salts are heated with soda-lime.
Decarboxylation also takes place when aqueous solutions of alkali metal salts of carboxylic acids are electrolyzed. This electrolytic process is known as Kolbe’s electrolysis.
12.17 Complete each synthesis by giving missing starting material, reagent or products
Show Answer
Answer
(i)
(ii)
(iii)
(iv)
(v)
(vi)
(vii)
(viii)
(ix)
(x)
(xi)
12.18 Give plausible explanation for each of the following:
(i) Cyclohexanone forms cyanohydrin in good yield but 2,2, 6-trimethylcyclohexanone does not.
(ii) There are two $–NH_2$ groups in semicarbazide. However, only one is involved in the formation of semicarbazones.
(iii) During the preparation of esters from a carboxylic acid and an alcohol in the presence of an acid catalyst, the water or the ester should be removed as soon as it is formed.
Show Answer
Answer
Because of the presence of three methyl groups at $\alpha$-positions w.r.t. the ${C}={O}$ groups, the nucleophilic attack by $C N^{-}$ ion does not occur due to steric hindrance. Since there is no such steric hindrance in cyclohexanone, therefore, nucleophilic attach by the $C N^{-}$ ion occurs readily and hence cyclohexanone cyanohydrin is obtained in good yield.
Although semicarbazide has two $-{NH}_2$ groups but one of them (ie.., which is directly attached to ${C}={O}$) is involved in resonance as shown above. As a result, electron density on this ${NH}_2$ group decreases and hence it does not act as a nucleophile. In contrast, the lone pair of electrons on the other ${NH}_2$ group (i.e., attached to -NH ) is not involved in resonance and hence is available for nucleophilic attack on the ${C}={O}$ group of aldehydes and ketones.
(iii) The formation of esters from a carboxylic acid and an alcohol in presence of an acid catalyst is a reversible reaction.
$\underset{\text { Carboxylic acid }}{{RCOOH}}+\underset{\text { Alcohol }}{{RCOH}^{\prime} {OH}} \stackrel{{H}_2 {SO}_4}{\leftrightharpoons} \underset{\text { Ester }}{{COOOR}^{\prime}}+{H}_2 {O}$
To shift the equilibrium in the forward direction, the water or the ester formed should be removed as fast as it is formed.
12.19 An organic compound contains $69.77 \%$ carbon, $11.63 \%$ hydrogen and rest oxygen. The molecular mass of the compound is 86 . It does not reduce Tollens’ reagent but forms an addition compound with sodium hydrogensulphite and give positive iodoform test. On vigorous oxidation it gives ethanoic and propanoic acid. Write the possible structure of the compound.
Show Answer
Answer
An organic compound contains $69.77 \%$ carbon, $11.63 \%$ hydrogen and rest oxygen.
The molecular mass of the compound is 86 .
$ \% {O}=100-(69.77+11.63)=18.60 $
Simple atomic ratio ;
$ {C}: {H}: {O}=\dfrac{69.77}{12}: \dfrac{11.63}{1}: \dfrac{18.6}{16}=5.88: 11.63: 1.16=5: 10: 1 $
The empirical formula is ${C}5 {H}{10} {O}$
Empirical formula mass $=5 \times 12+10 \times 1+1 \times 16=86$.
$\Rightarrow$ It is equal to molecular formula mass. Hence, molecular formula is same as empirical formula.
$\Rightarrow$ It does not reduce Tollens reagent. Hence, it is not an aldehyde
$\Rightarrow$ It forms an addition compound with sodium hydrogensulphite. Hence, it contains carbonyl group.
$\Rightarrow$ It give positive iodoform test. Hence, it is a methyl ketone
$\Rightarrow$ On vigorous oxidation it gives ethanoic and propanoic acid.
$\Rightarrow$ Hence, it is 2-pentanone.
${CH}_3 {COCH}_2 {CH}_2 {CH}_3 \xrightarrow[\text { Vigorous }]{{O}} {CH}_3 {CH}_2 {COOH}+{CH}_3 {COOH}$
12.20 Although phenoxide ion has more number of resonating structures than carboxylate ion, carboxylic acid is a stronger acid than phenol. Why?
Show Answer
Answer
It can be observed from the resonance structures of phenoxide ion that in II, III and IV, less electronegative carbon atoms carry a negative charge. Therefore, these three structures contribute negligibly towards the resonance stability of the phenoxide ion. Hence, these structures can be eliminated. Only structures I and V carry a negative charge on the more electronegative oxygen atom.
Further, in resonating structures I’ and II’, the negative charge is delocalized over two oxygen atoms. But in resonating structures I and V of the phenoxide ion, the negative charge is localized on the same oxygen atom. Therefore, the resonating structures of carboxylate ion contribute more towards its stability than those of phenoxide ion. As a result, carboxylate ion is more resonance-stabilized than phenoxide ion. Hence, carboxylic acid is a stronger acid than phenol.