sathee Ask SATHEE

Welcome to SATHEE !
Select from 'Menu' to explore our services, or ask SATHEE to get started. Let's embark on this journey of growth together! 🌐📚🚀🎓

I'm relatively new and can sometimes make mistakes.
If you notice any error, such as an incorrect solution, please use the thumbs down icon to aid my learning.
To begin your journey now, click on

Please select your preferred language

Unit 13 Amines

The chief commercial use of amines is as intermediates in the synthesis of medicines and fibres.

Amines constitute an important class of organic compounds derived by replacing one or more hydrogen atoms of ammonia molecule by alkyl/aryl group(s). In nature, they occur among proteins, vitamins, alkaloids and hormones. Synthetic examples include polymers, dye stuffs and drugs. Two biologically active compounds, namely adrenaline and ephedrine, both containing secondary amino group, are used to increase blood pressure. Novocain, a synthetic amino compound, is used as an anaesthetic in dentistry. Benadryl, a well known antihistaminic drug also contains tertiary amino group. Quaternary ammonium salts are used as surfactants. Diazonium salts are intermediates in the preparation of a variety of aromatic compounds including dyes. In this Unit, you will learn about amines and diazonium salts.

I. AMINES

Amines can be considered as derivatives of ammonia, obtained by replacement of one, two or all the three hydrogen atoms by alkyl and/or aryl groups. For example:

$$ \mathrm{CH_3-NH_2, C_6H_5-NH_2, CH_3-NH-CH_3, CH_3-}\mathrm{N ~\langle ~\substack{{CH_3} \\ {CH_3}}} $$

9.1 Structure of Amines [259-260]

Like ammonia, nitrogen atom of amines is trivalent and carries an unshared pair of electrons. Nitrogen orbitals in amines are therefore, $s p^{3}$ hybridised and the geometry of amines is pyramidal. Each of the three $s p^{3}$ hybridised orbitals of nitrogen overlap with orbitals of hydrogen or carbon depending upon the composition of the amines. The fourth orbital of nitrogen in all amines contains an unshared pair of electrons. Due to the presence of unshared pair of electrons, the angle $\mathrm{C}-\mathrm{N}-\mathrm{E}$, (where $\mathrm{E}$ is $\mathrm{C}$ or $\mathrm{H}$) is less than $109.5^{\circ}$; for instance, it is $108^{\circ}$ in case of trimethylamine as shown in Fig. 9.1.

Fig. 9.1 Pyramidal shape of trimethylamine

9.2 Classification [260]

Amines are classified as primary $\left(1^{\circ}\right)$, secondary $\left(2^{\circ}\right)$ and tertiary $\left(3^{\circ}\right)$ depending upon the number of hydrogen atoms replaced by alkyl or aryl groups in ammonia molecule. If one hydrogen atom of ammonia is replaced by $\mathrm{R}$ or $\mathrm{Ar}$, we get $\mathrm{RNH_2}$ or $\mathrm{ArNH_2}$, a primary amine (10). If two hydrogen atoms of ammonia or one hydrogen atom of $\mathrm{R}-\mathrm{NH_2}$ are replaced by another alkyl/aryl(R’) group, what would you get? You get R-NHR’, secondary amine. The second alkyl/aryl group may be same or different. Replacement of another hydrogen atom by alkyl/aryl group leads to the formation of tertiary amine. Amines are said to be ‘simple’ when all the alkyl or aryl groups are the same, and ‘mixed’ when they are different.

9.3 Nomenclature [260-262]

In common system, an aliphatic amine is named by prefixing alkyl group to amine, i.e., alkylamine as one word (e.g., methylamine). In secondary and tertiary amines, when two or more groups are the same, the prefix di or tri is appended before the name of alkyl group. In IUPAC system, primary amines are named as alkanamines. The name is derived by replacement of ’ $e$ ’ of alkane by the word amine. For example, $\mathrm{CH_3} \mathrm{NH_2}$ is named as methanamine. In case, more than one amino group is present at different positions in the parent chain, their positions are specified by giving numbers to the carbon atoms bearing $-\mathrm{NH_2}$ groups and suitable prefix such as di, tri, etc. is attached to the amine. The letter ’ $\mathrm{e}$ ’ of the suffix of the hydrocarbon part is retained. For example, $\mathrm{H_2} \mathrm{~N}-\mathrm{CH_2}-\mathrm{CH_2}-\mathrm{NH_2}$ is named as ethane-1, 2-diamine.

To name secondary and tertiary amines, we use locant $\mathrm{N}$ to designate substituent attached to a nitrogen atom. For example, $\mathrm{CH_3} \mathrm{NHCH_2} \mathrm{CH_3}$ is named as $\mathrm{N}$-methylethanamine and $\left(\mathrm{CH_3} \mathrm{CH_2}\right)_{3} \mathrm{~N}$ is named as $\mathrm{N}, \mathrm{N}$ diethylethanamine. More examples are given in Table 9.1.

In arylamines, $-\mathrm{NH_2}$ group is directly attached to the benzene ring. $\mathrm{C_6} \mathrm{H_5} \mathrm{NH_2}$ is the simplest example of arylamine. In common system, it is known as aniline. It is also an accepted IUPAC name. While naming arylamines according to IUPAC system, suffix ’ $\mathrm{e}$ ’ of arene is replaced by ‘amine’. Thus in IUPAC system, $\mathrm{C_6} \mathrm{H_5}-\mathrm{NH_2}$ is named as benzenamine. Common and IUPAC names of some alkylamines and arylamines are given in Table 9.1.

Table 9.1: Nomenclature of Some Alkylamines and Arylamines

Intext Questions

13.1 Classify the following amines as primary, secondary or tertiary:

(iii) $\left({C_2} {H_5}\right)_{2} {CHNH_2} \quad$

(iv) $\left({C_2} {H_5}\right)_2 {NH}$

Show Answer

Answer

Primary: (i) and (iii)

Secondary: (iv)

Tertiary: (ii)

13.2 (i) Write structures of different isomeric amines corresponding to the molecular formula, ${C_4} {H_{11}} {~N}$.

(ii) Write IUPAC names of all the isomers.

(iii) What type of isomerism is exhibited by different pairs of amines?

Show Answer

Answer

(i), (ii) The structures and their IUPAC names of different isomeric amines corresponding to the molecular formula, ${C_4} {H_{11}}{N}$ are given below:

(a) ${CH_3}-{CH_2}-{CH_2}-{CH_2}-{NH_2}$

Butanamine $(1^\circ)$

(b)

Butan-2-amine $(1^\circ)$

(c)

2-Methylpropanamine $(1^\circ)$

(d)

2-Methylpropan-2-amine $(1^\circ)$

(e) ${CH_3}-{CH_2}-{CH_2}-{NH}-{CH_3}$

${N}$-Methylpropanamine $(2^\circ)$

(f) ${CH_3}-{CH_2}-{NH}-{CH_2}-{CH_3}$

${N}$-Ethylethanamine $(2^\circ)$

(g)

N-Methylpropan-2-amine $(2^\circ)$

${N}, {N}$-Dimethylethanamine $\left(3^{\circ}\right)$

(iii) The pairs (a) and (b) and (e) and (g) exhibit position isomerism.

The pairs (a) and (c); (a) and (d); (b) and (c); (b) and (d) exhibit chain isomerism.

The pairs (e) and (f) and (f) and (g) exhibit metamerism.

All primary amines exhibit functional isomerism with secondary and tertiary amines and viceversa.

9.4 Preparation of Amines [262-265]

Amines are prepared by the following methods:

1. Reduction of nitro compounds

Nitro compounds are reduced to amines by passing hydrogen gas in the presence of finely divided nickel, palladium or platinum and also by reduction with metals in acidic medium. Nitroalkanes can also be similarly reduced to the corresponding alkanamines.

Reduction with iron scrap and hydrochloric acid is preferred because $\mathrm{FeCl_2}$ formed gets hydrolysed to release hydrochloric acid during the reaction. Thus, only a small amount of hydrochloric acid is required to initiate the reaction.

2. Ammonolysis of alkyl halides

You have read (Unit 6, Class XII) that the carbon - halogen bond in alkyl or benzyl halides can be easily cleaved by a nucleophile. Hence, an alkyl or benzyl halide on reaction with an ethanolic solution of ammonia undergoes nucleophilic substitution reaction in which the halogen atom is replaced by an amino $\left(-\mathrm{NH_2}\right)$ group. This process of cleavage of the $\mathrm{C}-\mathrm{X}$ bond by ammonia molecule is known as ammonolysis. The reaction is carried out in a sealed tube at 373 K. The primary amine thus obtained behaves as a nucleophile and can further react with alkyl halide to form secondary and tertiary amines, and finally quaternary ammonium salt.

The free amine can be obtained from the ammonium salt by treatment with a strong base:

$$\mathrm{R}-\stackrel{+}{\mathrm{N}} \mathrm{H_3} \stackrel{-}{\mathrm{X}}+\mathrm{NaOH} \rightarrow \mathrm{R}-\mathrm{NH_2}+\mathrm{H_2} \mathrm{O}+\stackrel{+}{\mathrm{Na}} \stackrel{-}{\mathrm{X}}$$

Ammonolysis has the disadvantage of yielding a mixture of primary, secondary and tertiary amines and also a quaternary ammonium salt. However, primary amine is obtained as a major product by taking large excess of ammonia.

The order of reactivity of halides with amines is $\mathrm{RI > RBr >RCl}$.

Example 9.1

Write chemical equations for the following reactions:

(i) Reaction of ethanolic $\mathrm{NH_3}$ with $\mathrm{C_2} \mathrm{H_5} \mathrm{Cl}$.

(ii) Ammonolysis of benzyl chloride and reaction of amine so formed with two moles of $\mathrm{CH_3} \mathrm{Cl}$.

Solution

3. Reduction of nitriles

Nitriles on reduction with lithium aluminium hydride $\left(\mathrm{LiAlH_4}\right)$ or catalytic hydrogenation produce primary amines. This reaction is used for ascent of amine series, i.e., for preparation of amines containing one carbon atom more than the starting amine.

$$ \mathrm{R}-\mathrm{C} \equiv \mathrm{N} \xrightarrow[\mathrm{Na}(\mathrm{Hg}) / \mathrm{C} _{2} \mathrm{H} _{5} \mathrm{OH}]{\mathrm{H} _{2} / \mathrm{Ni}} \mathrm{R}-\mathrm{CH} _{2}-\mathrm{NH} _{2}$$

4. Reduction of amides

The amides on reduction with lithium aluminium hydride yield amines.

5. Gabriel phthalimide synthesis

Gabriel synthesis is used for the preparation of primary amines. Phthalimide on treatment with ethanolic potassium hydroxide forms potassium salt of phthalimide which on heating with alkyl halide followed by alkaline hydrolysis produces the corresponding primary amine. Aromatic primary amines cannot be prepared by this method because aryl halides do not undergo nucleophilic substitution with the anion formed by phthalimide.

6. Hoffmann bromamide degradation reaction

Hoffmann developed a method for preparation of primary amines by treating an amide with bromine in an aqueous or ethanolic solution of sodium hydroxide. In this degradation reaction, migration of an alkyl or aryl group takes place from carbonyl carbon of the amide to the nitrogen atom. The amine so formed contains one carbon less than that present in the amide.

$$ \mathrm{R}-\stackrel{\mathrm{O}}{\stackrel{\text{||}}{\mathrm{C}}}-\mathrm{NH_2}+\mathrm{Br_2}+4 \mathrm{NaOH} \longrightarrow \mathrm{R}-\mathrm{NH_2}+\mathrm{Na_2} \mathrm{CO_3}+2 \mathrm{NaBr}+2 \mathrm{H_2} \mathrm{O} $$

Example 9.2

Write chemical equations for the following conversions:

(i) $\mathrm{CH} _{3}-\mathrm{CH} _{2}-\mathrm{Cl}$ से $\mathrm{CH} _{3}-\mathrm{CH} _{2}-\mathrm{CH} _{2}-\mathrm{NH} _{2}$

(ii) $\mathrm{C} _{6} \mathrm{H} _{5}-\mathrm{CH} _{2}-\mathrm{Cl}$ से $\mathrm{C} _{6} \mathrm{H} _{5}-\mathrm{CH} _{2}-\mathrm{CH} _{2}-\mathrm{NH} _{2}$

Solution

Example 9.3 Write structures and IUPAC names of

(i) the amide which gives propanamine by Hoffmann bromamide reaction.

(ii) the amine produced by the Hoffmann degradation of benzamide.

Solution

(i) Propanamine contains three carbons. Hence, the amide molecule must contain four carbon atoms. Structure and IUPAC name of the starting amide with four carbon atoms are given below:

(ii) Benzamide is an aromatic amide containing seven carbon atoms. Hence, the amine formed from benzamide is aromatic primary amine containing six carbon atoms.

Intext Question

13.3 How will you convert

(i) Benzene into aniline

(ii) Benzene into $\mathrm{N}, \mathrm{N}$-dimethylaniline

(iii) $\mathrm{Cl}-\left(\mathrm{CH_2}\right)_{4}-\mathrm{Cl}$ into hexan-1,6-diamine?

Show Answer

Answer

(i)

(ii)

(iii)

9.5 Physical Properties [265-266]

The lower aliphatic amines are gases with fishy odour. Primary amines with three or more carbon atoms are liquid and still higher ones are solid. Aniline and other arylamines are usually colourless but get coloured on storage due to atmospheric oxidation.

Lower aliphatic amines are soluble in water because they can form hydrogen bonds with water molecules. However, solubility decreases with increase in molar mass of amines due to increase in size of the hydrophobic alkyl part. Higher amines are essentially insoluble in water. Considering the electronegativity of nitrogen of amine and oxygen of alcohol as 3.0 and 3.5 respectively, you can predict the pattern of solubility of amines and alcohols in water. Out of butan-1-ol and butan-1-amine, which will be more soluble in water and why? Amines are soluble in organic solvents like alcohol, ether and benzene. You may remember that alcohols are more polar than amines and form stronger intermolecular hydrogen bonds than amines.

Primary and secondary amines are engaged in intermolecular association due to hydrogen bonding between nitrogen of one and hydrogen of another molecule. This intermolecular association is more in primary amines than in secondary amines as there are two hydrogen atoms available for hydrogen bond formation in it. Tertiary amines do not have intermolecular association due to the absence of hydrogen atom available for hydrogen bond formation. Therefore, the order of boiling points of isomeric amines is as follows:

$\mathrm{Primary > Secondary > Tertiary}$

Intermolecular hydrogen bonding in primary amines is shown in Fig. 9.2.

Table 9.2: Comparison of Boiling Points of Amines, Alcohols and Alkanes of Similar Molecular Masses

S1. No. Compound Molar mass b.p./K
1. $\mathrm{n}-\mathrm{C}_4 \mathrm{H}_9 \mathrm{NH}_2$ 73 350.8
2. $\left(\mathrm{C}_2 \mathrm{H}_5\right)_2 \mathrm{NH}$ 73 329.3
3. $\mathrm{C}_2 \mathrm{H}_5 \mathrm{~N}^{-}\left(\mathrm{CH}_3\right)_2$ 73 310.5
4. $\mathrm{C}_2 \mathrm{H}_5 \mathrm{CH}\left(\mathrm{CH}_3\right)_2$ 72 300.8
5. $\mathrm{n}-\mathrm{C}_4 \mathrm{H}_9 \mathrm{OH}$ 74 390.3

9.6 Chemical Reactions [266-274]

Difference in electronegativity between nitrogen and hydrogen atoms and the presence of unshared pair of electrons over the nitrogen atom makes amines reactive. The number of hydrogen atoms attached to nitrogen atom also decides the course of reaction of amines; that is why primary reactions. Moreover, amines behave as nucleophiles due to the presence of unshared electron pair. Some of the reactions of amines are described below:

1. Basic character of amines

Amines, being basic in nature, react with acids to form salts.

Amine salts on treatment with a base like $\mathrm{NaOH}$, regenerate the parent amine.

$$ \stackrel{+}{\mathrm{RN_3}} \stackrel{-}{\mathrm{X}}+\stackrel{-}{\mathrm{O}} \mathrm{H} \longrightarrow \mathrm{R \ddot{N}H_2}+\mathrm{H_2} \mathrm{O}+\overline{\mathrm{X}} $$.

Amine salts are soluble in water but insoluble in organic solvents like ether. This reaction is the basis for the separation of amines from the non basic organic compounds insoluble in water.

The reaction of amines with mineral acids to form ammonium salts shows that these are basic in nature. Amines have an unshared pair of electrons on nitrogen atom due to which they behave as Lewis base. Basic character of amines can be better understood in terms of their $K_{b}$ and $\mathrm{p} K_{b}$ values as explained below:

$$ \mathrm {R} - \mathrm {NH}_2 + \mathrm {H}_2\mathrm {O} \rightleftharpoons \mathrm {R} - \stackrel{+}{NH}_3 + \stackrel{-}{OH} $$

$$ K = \frac{[\mathrm {R} - \stackrel{+}{NH}_3][\stackrel{-}{OH}]}{[\mathrm {R} - \mathrm {NH}_2][\mathrm {H}_2\mathrm {O}]} $$

$$ \mathrm {or} \quad K[\mathrm {H}_2\mathrm {O}] = \frac{[\mathrm {R} - \stackrel{+}{NH}_3][\stackrel{-}{OH}]}{[\mathrm {R} - \mathrm {NH}_2]} $$

$$ \mathrm {or} \quad K_b = \frac{[\mathrm {R} - \stackrel{+}{NH}_3][\stackrel{-}{OH}]}{[\mathrm {R} - \text{NH}_2]} $$

$$ pK_b = -\log K_b $$

Larger the value of $K_{b}$ or smaller the value of $\mathrm{p} K_{b}$, stronger is the base. The $\mathrm{p} K_{b}$ values of few amines are given in Table 9.3.

$\mathrm{p} K_{b}$ value of ammonia is 4.75. Aliphatic amines are stronger bases than ammonia due to $+\mathrm{I}$ effect of alkyl groups leading to high electron density on the nitrogen atom. Their $\mathrm{p} K_{b}$ values lie in the range of 3 to 4.22. On the other hand, aromatic amines are weaker bases than ammonia due to the electron withdrawing nature of the aryl group.

Table 9.3: pKb Values of Amines in Aqueous Phase

Name of amine pK
Methanamine 3.38
$N$-Methylmethanamine 3.27
$N, N$-Dimethylmethanamine 4.22
Ethanamine 3.29
$N$-Ethylethanamine 3.00
$N, N$-Diethylethanamine 3.25
Benzenamine 9.38
Phenylmethanamine 4.70
$N$-Methylaniline 9.30
$N, N$-Dimethylaniline 8.92

You may find some discrepancies while trying to interpret the $K_{b}$ values of amines on the basis of $+\mathrm{I}$ or $-\mathrm{I}$ effect of the substituents present in amines. Besides inductive effect, there are other effects like solvation effect, steric hinderance, etc., which affect the basic strength of amines. Just ponder over. You may get the answer in the following paragraphs.

Structure-basicity relationship of amines

Basicity of amines is related to their structure. Basic character of an amine depends upon the ease of formation of the cation by accepting a proton from the acid. The more stable the cation is relative to the amine, more basic is the amine.

(a) Alkanamines versus ammonia

Let us consider the reaction of an alkanamine and ammonia with a proton to compare their basicity.

Due to the electron releasing nature of alkyl group, it $(R)$ pushes electrons towards nitrogen and thus makes the unshared electron pair more available for sharing with the proton of the acid. Moreover, the substituted ammonium ion formed from the amine gets stabilised due to dispersal of the positive charge by the $+I$ effect of the alkyl group. Hence, alkylamines are stronger bases than ammonia. Thus, the basic nature of aliphatic amines should increase with increase in the number of alkyl groups. This trend is followed in the gaseous phase. The order of basicity of amines in the gaseous phase follows the expected order: tertiary amine $>$ secondary amine $>$ primary amine $>\mathrm{NH_3}$. The trend is not regular in the aqueous state as evident by their $\mathrm{p} K_{b}$ values given in Table 9.3. In the aqueous phase, the substituted ammonium cations get stabilised not only by electron releasing effect of the alkyl group (+I) but also by solvation with water molecules. The greater the size of the ion, lesser will be the solvation and the less stabilised is the ion. The order of stability of ions are as follows:

Decreasing order of extent of H-bonding in water and order of stability of ions by solvation.

Greater is the stability of the substituted ammonium cation, stronger should be the corresponding amine as a base. Thus, the order of basicity of aliphatic amines should be: primary $>$ secondary $>$ tertiary, which is opposite to the inductive effect based order. Secondly, when the alkyl group is small, like $-\mathrm{CH_3}$ group, there is no steric hindrance to $\mathrm{H}$-bonding. In case the alkyl group is bigger than $\mathrm{CH_3}$ group, there will be steric hinderance to $\mathrm{H}$-bonding. Therefore, the change of nature of the alkyl group, e.g., from $-\mathrm{CH_3}$ to $-\mathrm{C_2} \mathrm{H_5}$ results in change of the order of basic strength. Thus, there is a subtle interplay of the inductive effect, solvation effect and steric hinderance of the alkyl group which decides the basic strength of alkyl amines in the aqueous state. The order of basic strength in case of methyl substituted amines and ethyl substituted amines in aqueous solution is as follows:

$$ \begin{aligned} & \left(\mathrm{C_2} \mathrm{H_5}\right)_2 \mathrm{NH}>\left(\mathrm{C_2} \mathrm{H_5}\right)_3 \mathrm{~N}>\mathrm{C_2} \mathrm{H_5} \mathrm{NH_2}>\mathrm{NH_3} \\ & \left(\mathrm{CH_3}\right)_2 \mathrm{NH}>\mathrm{CH_3} \mathrm{NH_2}>\left(\mathrm{CH_3}\right)_3 \mathrm{~N}>\mathrm{NH_3} \end{aligned} $$

(b) Arylamines versus ammonia

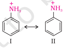
$\mathrm{p} K_{b}$ value of aniline is quite high. Why is it so? It is because in aniline or other arylamines, the $-\mathrm{NH_2}$ group is attached directly to the benzene ring. It results in the unshared electron pair on nitrogen atom to be in conjugation with the benzene ring and thus making it less available for protonation. If you write different resonating structures of aniline, you will find that aniline is a resonance hybrid of the following five structures.

On the other hand, anilinium ion obtained by accepting a proton can have only two resonating structures (kekule).

We know that greater the number of resonating structures, greater is the stability. Thus you can infer that aniline (five resonating structures) is more stable than anilinium ion. Hence, the proton acceptability or the basic nature of aniline or other aromatic amines would be less than that of ammonia. In case of substituted aniline, it is observed that electron releasing groups like $-\mathrm{OCH_3},-\mathrm{CH_3}$ increase basic strength whereas electron withdrawing groups like $-\mathrm{NO_2},-\mathrm{SO_3} \mathrm{H}$, $-\mathrm{COOH},-\mathrm{X}$ decrease it.

Example 9.4 Arrange the following in decreasing order of their basic strength:

$\mathrm{C_6} \mathrm{H_5} \mathrm{NH_2}, \mathrm{C_2} \mathrm{H_5} \mathrm{NH_2},\left(\mathrm{C_2} \mathrm{H_5}\right)_{2} \mathrm{NH}, \mathrm{NH_3}$

Solution The decreasing order of basic strength of the above amines and ammonia follows the following order:

$\left(\mathrm{C_2} \mathrm{H_5}\right)_{2} \mathrm{NH}>\mathrm{C_2} \mathrm{H_5} \mathrm{NH_2}>\mathrm{NH_3}>\mathrm{C_6} \mathrm{H_5} \mathrm{NH_2}$

2. Alkylation

Amines undergo alkylation on reaction with alkyl halides (refer Unit 6, Class XII).

3. Acylation

Aliphatic and aromatic primary and secondary amines react with acid chlorides, anhydrides and esters by nucleophilic substitution reaction. This reaction is known as acylation. You can consider this reaction as the replacement of hydrogen atom of $-\mathrm{NH_2}$ or $>\mathrm{N}-\mathrm{H}$ group by the acyl group. The products obtained by acylation reaction are known as amides. The reaction is carried out in the presence of a base stronger than the amine, like pyridine, which removes $\mathrm{HCl}$ so formed and shifts the equilibrium to the right hand side.

Amines also react with benzoyl chloride $\left(\mathrm{C_6} \mathrm{H_5} \mathrm{COCl}\right)$. This reaction is known as benzoylation.

$$\underset{\text{Methanamine}}{\mathrm{CH_3} \mathrm{NH_2}}+\underset{\text{Benzoyl chloride}}{\mathrm{C_6} \mathrm{H_5} \mathrm{COCl}} \longrightarrow \underset{\text{N-Methylbenzamide}}{\mathrm{CH_3} \mathrm{NHCOC_6} \mathrm{H_5}}+\mathrm{HCl}$$

What do you think is the product of the reaction of amines with carboxylic acids ? They form salts with amines at room temperature.

4. Carbylamine reaction

Aliphatic and aromatic primary amines on heating with chloroform and ethanolic potassium hydroxide form isocyanides or carbylamines which are foul smelling substances. Secondary and tertiary amines do not show this reaction. This reaction is known as carbylamine reaction or isocyanide test and is used as a test for primary amines.

$ \mathrm{R-NH_2 + CHCl_3+ 3KOH} \xrightarrow[]{\mathrm{Heat}} \mathrm{R-NC} + \mathrm{KCL+3H_2O} $

5. Reaction with nitrous acid

Three classes of amines react differently with nitrous acid which is prepared in situ from a mineral acid and sodium nitrite.

(a) Primary aliphatic amines react with nitrous acid to form aliphatic diazonium salts which being unstable, liberate nitrogen gas quantitatively and alcohols. Quantitative evolution of nitrogen is used in estimation of amino acids and proteins.

$$ \mathrm{R}-\mathrm{NH_2}+\mathrm{HNO_2} \xrightarrow{\mathrm{NaNO_2}+\mathrm{HCl}}\left[\mathrm{R}-\stackrel{+}{\mathrm{N_2}}-\overline{\mathrm{Cl}}\right] \xrightarrow{\mathrm{H_2} \mathrm{O}} \mathrm{ROH}+\mathrm{N_2}+\mathrm{HCl} $$

(b) Aromatic amines react with nitrous acid at low temperatures (273-278 K) to form diazonium salts, a very important class of compounds used for synthesis of a variety of aromatic compounds discussed in Section 9.7.

$$ \underset{\text { Aniline }}{\mathrm{C_6} \mathrm{H_5}-\mathrm{NH_2}} \xrightarrow{\stackrel{\mathrm{NaNO_2}+2 \mathrm{HCl}}{273-278 \mathrm{~K}}} \underset{\begin{array}{c} \text { Benzenediazonium } \\ \text { chloride } \end{array}}{\mathrm{C_6} \mathrm{H_5}-\stackrel{+}{\mathrm{N}} \mathrm{C_2} \overline{\mathrm{Cl}}+\mathrm{NaCl}}+2 \mathrm{H_2} \mathrm{O} $$

Secondary and tertiary amines react with nitrous acid in a different manner.

6. Reaction with arylsulphonyl chloride

Benzenesulphonyl chloride $\left(\mathrm{C_6} \mathrm{H_5} \mathrm{SO_2} \mathrm{Cl}\right)$, which is also known as Hinsberg’s reagent, reacts with primary and secondary amines to form sulphonamides.

(a) The reaction of benzenesulphonyl chloride with primary amine yields $\mathrm{N}$-ethylbenzenesulphonyl amide.

The hydrogen attached to nitrogen in sulphonamide is strongly acidic due to the presence of strong electron withdrawing sulphonyl group. Hence, it is soluble in alkali.

(b) In the reaction with secondary amine, $\mathrm{N}, \mathrm{N}$-Diethylbenzenesulphonamide is formed.

Since N, N-diethylbenzene sulphonamide does not contain any hydrogen atom attached to nitrogen atom, it is not acidic and hence insoluble in alkali.

(c) Tertiary amines do not react with benzenesulphonyl chloride. This property of amines reacting with benzenesulphonyl chloride in a different manner is used for the distinction of primary, secondary and tertiary amines and also for the separation of a mixture of amines. However, these days benzenesulphonyl chloride is replaced by $p$-toluenesulphonyl chloride.

7. Electrophilic substitution

You have read earlier that aniline is a resonance hybrid of five structures. Where do you find the maximum electron density in these structures? Ortho- and para-positions to the $-\mathrm{NH_2}$ group become centres of high electron density. Thus $-\mathrm{NH_2}$ group is ortho and para directing and a powerful activating group.

(a) Bromination: Aniline reacts with bromine water at room temperature to give a white precipitate of 2,4,6-tribromoaniline.

The main problem encountered during electrophilic substitution reactions of aromatic amines is that of their very high reactivity. Substitution tends to occur at ortho- and para-positions. If we have to prepare monosubstituted aniline derivative, how can the activating effect of $-\mathrm{NH_2}$ group be controlled ? This can be done by protecting the $-\mathrm{NH_2}$ group by acetylation with acetic anhydride, then carrying out the desired substitution followed by hydrolysis of the substituted amide to the substituted amine.

The lone pair of electrons on nitrogen of acetanilide interacts with oxygen atom due to resonance as shown below:

Hence, the lone pair of electrons on nitrogen is less available for donation to benzene ring by resonance. Therefore, activating effect of $-\mathrm{NHCOCH_3}$ group is less than that of amino group.

(b) Nitration: Direct nitration of aniline yields tarry oxidation products in addition to the nitro derivatives. Moreover, in the strongly acidic medium, aniline is protonated to form the anilinium ion which is meta directing. That is why besides the ortho and para derivatives, significant amount of meta derivative is also formed.

However, by protecting the $-\mathrm{NH_2}$ group by acetylation reaction with acetic anhydride, the nitration reaction can be controlled and the $p$-nitro derivative can be obtained as the major product.

(c) Sulphonation: Aniline reacts with concentrated sulphuric acid to form anilinium hydrogensulphate which on heating with sulphuric acid at $453-473 \mathrm{~K}$ produces $\mathrm{p}$-aminobenzene sulphonic acid, commonly known as sulphanilic acid, as the major product.

Aniline does not undergo Friedel-Crafts reaction (alkylation and acetylation) due to salt formation with aluminium chloride, the Lewis acid, which is used as a catalyst. Due to this, nitrogen of aniline acquires positive charge and hence acts as a strong deactivating group for further reaction.

Intext Questions

13.4 Arrange the following in increasing order of their basic strength :

(i) ${C_2} {H_5} {NH_2}, {C_6} {H_5} {NH_2}, {NH_3}, {C_6} {H_5} {CH_2} {NH_2}$ and $\left({C_2} {H_5}\right)_{2} {NH}$

(ii) ${C_2} {H_5} {NH_2},\left({C_2} {H_5}\right)_2 {NH},\left({C_2} {H_5}\right)_3 {~N}, {C_6} {H_5} {NH_2}$

(iii) ${CH_3} {NH_2},\left({CH_3}\right)_2 {NH},\left({CH_3}\right)_3 {~N}, {C_6} {H_5} {NH_2}, {C_6} {H_5} {CH_2} {NH_2}$.

Show Answer

Answer

(i) Considering the inductive effect of alkyl groups, ${NH_3}, {C_2} {H_5} {NH_2}$, and $\left({C_2} {H_5}\right)_{2} {NH}$ can be arranged in the increasing order of their basic strengths as:

$ {NH_3}<{C_2} {H_5} {NH_2}<\left({C_2} {H_5}\right)_{2} {NH} $

Again, ${C_6} {H_5} {NH_2}$ has proton acceptability less than ${NH_3}$. Thus, we have:

$ {C_6} {H_5} {NH_2}<{NH_3}<{C_2} {H_5} {NH_2}<\left({C_2} {H_5}\right)_{2} {NH} $

Due to the $- I$ effect of ${C_6} {H_5}$ group, the electron density on the ${N}$-atom in ${C_6} {H_5} {CH_2} {NH_2}$ is lower than that on the ${N}$-atom in ${C_2} {H_5} {NH_2}$, but more than that in ${NH_3}$. Therefore, the given compounds can be arranged in the order of their basic strengths as:

$ {C_6} {H_5} {NH_2}<{NH_3}<{C_6} {H_5} {CH_2} {NH_2}<{C_2} {H_5} {NH_2}<\left({C_2} {H_5}\right)_{2} {NH} $

(ii) Considering the inductive effect and the steric hindrance of the alkyl groups, ${C_2} {H_5} {NH_2}$, $\left({C_2} {H_5}\right)_{2} {NH_2}$ and their basic strengths as follows:

$ {C _2} {H _5} {NH _2}<\left({C _2} {H _5}\right) _{3} {~N}<\left({C _2} {H _5}\right) _{2} {NH} $

Again, due to the - ${R}$ effect of ${C_6} {H_5}$ group, the electron density on the ${N}$ atom in ${C_6} {H_5} {NH_2}$ is lower than that on the ${N}$ atom in ${C_2} {H_5} {NH_2}$. Therefore, the basicity of ${C_6} {H_5} {NH_2}$ is lower than that of ${C_2} {H_5} {NH_2}$. Hence, the given compounds can be arranged in the increasing order of their basic strengths as follows:

$ {C _6} {H _5} {NH _2}<{C _2} {H _5} {NH _2}<\left({C _2} {H _5}\right) _{3} {~N}<\left({C _2} {H _5}\right) _{2} {NH} $

(iii) Considering the inductive effect and the steric hindrance of alkyl groups, ${CH _3} {NH _2}$, $\left({CH _3}\right) _{2} {NH}$, and $\left({CH _3}\right) _{3} {~N}$ can be arranged in the increasing order of their basic strengths as:

$ \left({CH _3}\right) _{3} {~N}<{CH _3} {NH _2}<\left({CH _3}\right) _{2} {NH} $

In ${C_6} {H_5} {NH_2}, {~N}$ is directly attached to the benzene ring. Thus, the lone pair of electrons on the ${N}$ atom is delocalized over the benzene ring. In ${C_6} {H_5} {CH_2} {NH_2}, {~N}$ is not directly attached to the benzene ring. Thus, its lone pair is not delocalized over the benzene ring. Therefore, the electrons on the ${N}$ atom are more easily available for protonation in ${C_6} {H_5} {CH_2} {NH_2}$ than in ${C_6} {H_5} {NH_2}$ i.e., ${C_6} {H_5} {CH_2} {NH_2}$ is more basic than ${C_6} {H_5} {NH_2}$.

Again, due to the $- I$ effect of ${C _6} {H _5}$ group, the electron density on the ${N}$ - atom in ${C _6} {H _5} {CH _2} {NH_2}$ is lower than that on the ${N}$ - atom in $\left({CH _3}\right) _{3} {~N}$. Therefore, $\left({CH _3}\right) _{3} {~N}$ is more basic than ${C _6} {H _5} {CH _2} {NH_2}$. Thus, the given compounds can be arranged in the increasing order of their basic strengths as follows.

$ {C _6} {H _5} {NH _2}<{C _6} {H _5} {CH _2} {NH _2}<\left({CH _3}\right) _{3} {~N}<{CH _3} {NH _2}<\left({CH _3}\right) _{2} {NH} $

13.5 Complete the following acid-base reactions and name the products:

(i) ${CH_3} {CH_2} {CH_2} {NH_2}+{HCl} \rightarrow$

(ii) $\left({C_2} {H_5}\right)_{3} {~N}+{HCl} \rightarrow$

Show Answer

Answer

(i) $ \underset{n-\text{Propylamine}}{{CH_3} {CH_2} {CH_2} {NH_2}}+{HCl} \longrightarrow \underset{n-\text{Propylammonium chloride}}{{CH_3} {CH_2} {CH_2} \stackrel{+}{{N}H_3} \stackrel{-}{{Cl}}} $

(ii)

$\underset{\text { Triethylamine }}{\left({C}_2 {H}_5\right)_3 {~N}}+{HCl} \longrightarrow \underset{\text { Triethylammonium chloride }}{\left({C}_2 {H}_5\right)_3 {\stackrel{+}{N}H} \stackrel{-}{{Cl}}}$

13.6 Write reactions of the final alkylation product of aniline with excess of methyl iodide in the presence of sodium carbonate solution.

Show Answer

Answer

13.7 Write chemical reaction of aniline with benzoyl chloride and write the name of the product obtained.

Show Answer

Answer

13.8 Write structures of different isomers corresponding to the molecular formula, ${C_3} {H_9} {~N}$. Write IUPAC names of the isomers which will liberate nitrogen gas on treatment with nitrous acid.

Show Answer

Answer

The structures of different isomers corresponding to the molecular formula, ${C_3} {H_9} {~N}$ are given below:

(a) ${CH_3}-{CH_2}-{CH_2}-{NH_2}$

Propan-1-amine $\left(1^{\circ}\right)$

(b)

Propan-2-amine $\left(1^{\circ}\right)$

(c)

${CH_3}-{NH}-{C_2} {H_5}$

${N}$-Methylethanamine $\left(2^{0}\right)$

(d)

N,N-Dimethylmethanamine $\left(3^{0}\right)$

$\left(1^{0}\right)$ amines, (a) propan-1-amine, and (b) Propan-2-amine will liberate nitrogen gas on treatment with nitrous acid.

$ \underset{\text{Propan-1-amine}}{{CH_3} {CH_2} {CH_2} {NH_2}}+{HNO_2} \longrightarrow \underset{\text{Propan-1-ol}}{{CH_3} {CH_2} {CH_2} {OH}}+{N_2}+{HCl} $

13.9 Convert

$\text { (i) 3-Methylaniline into 3-nitrotoluene. }$

$\text { (ii) Aniline into 1,3,5-tribromobenzene. }$

Show Answer

Answer

(i)

(ii)

II. DIAZONIUM SALTS

The diazonium salts have the general formula $\mathrm{R}\stackrel{+}{N_2} \stackrel{-}{\mathrm{X}}$ where $\mathrm{R}$ stands for an aryl group and $\stackrel{-}{\mathrm{X}}$ ion may be $\mathrm{Cl}^{-} \mathrm{Br}^{-}, \mathrm{HSO_4}^{-}, \mathrm{BF_4}^{-}$, etc. They are named by suffixing diazonium to the name of the parent hydrocarbon from which they are formed, followed by the name of anion such as chloride, hydrogensulphate, etc. The $\stackrel{+}{\mathrm{N}} 2$ group is called diazonium group. For example, $\mathrm{C_6} \mathrm{H_5} \stackrel{+}{\mathrm{N_2}} \mathrm{C}$ is named as benzenediazonium chloride and $\mathrm{C_6} \mathrm{H_5} \mathrm{~N_2}^{+} \mathrm{HSO_4}^{-}$ is known as benzenediazonium hydrogensulphate.

Primary aliphatic amines form highly unstable alkyldiazonium salts (refer to Section 9.6). Primary aromatic amines form arenediazonium salts which are stable for a short time in solution at low temperatures (273-278 K). The stability of arenediazonium ion is explained on the basis of resonance.

9.7 Method of Preparation of Diazoniun Salts [274]

Benzenediazonium chloride is prepared by the reaction of aniline with nitrous acid at $273-278 \mathrm{~K}$. Nitrous acid is produced in the reaction mixture by the reaction of sodium nitrite with hydrochloric acid. The conversion of primary aromatic amines into diazonium salts is known as diazotisation. Due to its instability, the diazonium salt is not generally stored and is used immediately after its preparation.

$$ \mathrm{C_6} \mathrm{H_5} \mathrm{NH_2}+\mathrm{NaNO_2}+2 \mathrm{HCl} \xrightarrow{273-278 \mathrm{~K}} \mathrm{C_6} \mathrm{H_5} \stackrel{+}{\mathrm{N}}{ _2}^{-} \stackrel{-}{\mathrm{Cl}}+\mathrm{NaCl}+2 \mathrm{H_2} \mathrm{O} $$

9.8 Physical Properties [265-266]

Benzenediazonium chloride is a colourless crystalline solid. It is readily soluble in water and is stable in cold but reacts with water when warmed. It decomposes easily in the dry state. Benzenediazonium fluoroborate is water insoluble and stable at room temperature.

9.9 Chemical Reactions [266-274]

The reactions of diazonium salts can be broadly divided into two categories, namely (A) reactions involving displacement of nitrogen and (B) reactions involving retention of diazo group.

A. Reactions involving displacement of nitrogen Diazonium group being a very good leaving group, is substituted by other groups such as $\mathrm{Cl}^{-}, \mathrm{Br}^{-} \mathrm{I}^{-} \mathrm{CN}^{-}$ and $\mathrm{OH}^{-}$ which displace nitrogen from the aromatic ring. The nitrogen formed escapes from the reaction mixture as a gas.

1. Replacement by halide or cyanide ion: The $\mathrm{Cl}^{-}, \mathrm{Br}^{-}$ and $\mathrm{CN}^{-}$ nucleophiles can easily be introduced in the benzene ring in the presence of $\mathrm{Cu}(\mathrm{I})$ ion. This reaction is called Sandmeyer reaction.

Alternatively, chlorine or bromine can also be introduced in the benzene ring by treating the diazonium salt solution with corresponding halogen acid in the presence of copper powder. This is referred as Gatterman reaction.

The yield in Sandmeyer reaction is found to be better than Gattermann reaction.

2. Replacement by iodide ion: Iodine is not easily introduced into the benzene ring directly, but, when the diazonium salt solution is treated with potassium iodide, iodobenzene is formed.

$$\stackrel{+}{\mathrm{ArN_2}} \stackrel{-}{\mathrm{Cl}}+\mathrm{Kl} \longrightarrow \mathrm{Arl+KCL+N_2}$$

3. Replacement by fluoride ion: When arenediazonium chloride is treated with fluoroboric acid, arene diazonium fluoroborate is precipitated which on heating decomposes to yield aryl fluoride.

$$ \mathrm{Ar}\stackrel{+}{N} _{2} \stackrel{-}{\mathrm{Cl}}+\mathrm{HBF} _{4} \longrightarrow \mathrm{Ar}-\stackrel{+}{\mathrm{N}} _{2} \mathrm{BF} _{4} \xrightarrow{\Delta} \mathrm{Ar}-\mathrm{F}+\mathrm{BF} _{3}+\mathrm{N} _{2} $$

4. Replacement by H: Certain mild reducing agents like hypophosphorous acid (phosphinic acid) or ethanol reduce diazonium salts to arenes and themselves get oxidised to phosphorous acid and ethanal, respectively.

$$\mathrm{Ar}\stackrel{+}{N} _{2} \stackrel{-}{\mathrm{Cl}}+\mathrm{H}_3 \mathrm{PO}_2+\mathrm{H}_2 \mathrm{O} \longrightarrow \mathrm{ArH}+\mathrm{N}_2+\mathrm{H}_3 \mathrm{PO}_3+\mathrm{HCl}$$

$$ \begin{aligned} & \mathrm{Ar}\stackrel{+}{N} _{2} \stackrel{-}{\mathrm{Cl}}+\mathrm{CH} _{3} \mathrm{CH} _{2} \mathrm{OH} \longrightarrow \mathrm{ArH}+\mathrm{N} _{2}+\mathrm{CH} _{3} \mathrm{CHO}+\mathrm{HCl} \end{aligned} $$

5. Replacement by hydroxyl group: If the temperature of the diazonium salt solution is allowed to rise upto 283 K, the salt gets hydrolysed to phenol.

$$ \mathrm{Ar}\stackrel{+}{N} _{2} \stackrel{-}{\mathrm{Cl}}+\mathrm{H} _{2} \mathrm{O} \longrightarrow \mathrm{ArOH}+\mathrm{N} _{2}+\mathrm{HCl} $$

6. Replacement by $-\mathrm{NO} _{2}$ group: When diazonium fluoroborate is heated with aqueous sodium nitrite solution in the presence of copper, the diazonium group is replaced by $-\mathrm{NO} _{2}$ group.

B. Reactions involving retention of diazo group coupling reactions

The azo products obtained have an extended conjugate system having both the aromatic rings joined through the $-\mathrm{N}=\mathrm{N}-$ bond. These compounds are often coloured and are used as dyes. Benzene diazonium chloride reacts with phenol in which the phenol molecule at its para position is coupled with the diazonium salt to form $p$-hydroxyazobenzene. This type of reaction is known as coupling reaction. Similarly the reaction of diazonium salt with aniline yields $p$-aminoazobenzene. This is an example of electrophilic substitution reaction.

9.10 Importance of Diazonium Salts in Synthesis of Aromatic Compounds [276-277]

From the above reactions, it is clear that the diazonium salts are very good intermediates for the introduction of $-\mathrm{F},-\mathrm{Cl},-\mathrm{Br},-\mathrm{I},-\mathrm{CN},-\mathrm{OH}$, $-\mathrm{NO_2}$ groups into the aromatic ring.

Aryl fluorides and iodides cannot be prepared by direct halogenation. The cyano group cannot be introduced by nucleophilic substitution of chlorine in chlorobenzene but cyanobenzene can be easily obtained from diazonium salt.

Thus, the replacement of diazo group by other groups is helpful in preparing those substituted aromatic compounds which cannot be prepared by direct substitution in benzene or substituted benzene.

Example 9.3 How will you convert 4-nitrotoluene to 2-bromobenzoic acid?

Solution

Intext Question

9.9 Convert

(i) 3-Methylaniline into 3-nitrotoluene.

(ii) Aniline into 1,3,5 - tribromobenzene.

Summary

Amines can be considered as derivatives of ammonia obtained by replacement of hydrogen atoms with alkyl or aryl groups. Replacement of one hydrogen atom of ammonia gives rise to structure of the type $\mathbf{R}-\mathbf{N H_2}$, known as primary amine. Secondary amines are characterised by the structure $\mathbf{R_2} \mathbf{N H}$ or $\mathbf{R}-\mathbf{N H R}$ and tertiary amines by $\mathbf{R_3} \mathbf{N}, \mathbf{R} \mathbf{R}^{\prime} \mathbf{R}^{\prime \prime}$ or $\mathbf{R_2} \mathbf{N} \mathbf{R}^{\prime}$. Secondary and tertiary amines are known as simple amines if the alkyl or aryl groups are the same and mixed amines if the groups are different. Like ammonia, all the three types of amines have one unshared electron pair on nitrogen atom due to which they behave as Lewis bases.

Amines are usually formed from nitro compounds, halides, amides, imides, etc. They exhibit hydrogen bonding which influence their physical properties. In alkylamines, a combination of electron releasing, steric and $\mathrm{H}$-bonding factors influence the stability of the substituted ammonium cations in protic polar solvents and thus affect the basic nature of amines. Alkyl amines are found to be stronger bases than ammonia. In aromatic amines, electron releasing and withdrawing groups, respectively increase and decrease their basic character. Aniline is a weaker base than ammonia. Reactions of amines are governed by availability of the unshared pair of electrons on nitrogen. Influence of the number of hydrogen atoms at nitrogen atom on the type of reactions and nature of products is responsible for identification and distinction between primary, secondary and tertiary amines. $p$-Toluenesulphonyl chloride is used for the identification of primary, secondary and tertiary amines. Presence of amino group in aromatic ring enhances reactivity of the aromatic amines. Reactivity of aromatic amines can be controlled by acylation process, i.e., by treating with acetyl chloride or acetic anhydride. Tertiary amines like trimethylamine are used as insect attractants.

Aryldiazonium salts, usually obtained from arylamines, undergo replacement of the diazonium group with a variety of nucleophiles to provide advantageous methods for producing aryl halides, cyanides, phenols and arenes by reductive removal of the diazo group. Coupling reaction of aryldiazonium salts with phenols or arylamines give rise to the formation of azo dyes.

Exercises

13.1 Write IUPAC names of the following compounds and classify them into primary, secondary and tertiary amines.

(i) $\left({CH_3}\right)_{2} {CHNH_2}$

(ii) ${CH_3}\left({CH_2}\right)_{2} {NH_2}$

(iii) ${CH_3} {NHCH}\left({CH_3}\right)_{2}$

(iv) $\left({CH_3}\right)_{3} {CNH_2}$

(v) ${C_6} {H_5} {NHCH_3}$

(vi) $\left({CH_3} {CH_2}\right)_{2} {NCH_3}$

(vii) $m-{BrC_6} {H_4} {NH_2}$

Show Answer

Answer

(i) 1-Methylethanamine ( $1^{\circ}$ amine)

(ii) Propan-1-amine ( $1^{\circ}$ amine)

(iii) N-Methyl-2-methylethanamine ( $2^{\circ}$ amine)

(iv) 2-Methylpropan-2-amine ( $1^{\circ}$ amine)

(v) N-Methylbenzamine or ${N}$-methylaniline ($2^{\circ}$ amine)

(vi) ${N}$-Ethyl- ${N}$-methylethanamine ( $3^{\circ}$ amine)

(vii) 3-Bromobenzenamine or 3-bromoaniline ( $1^{\circ}$ amine)

13.2 Give one chemical test to distinguish between the following pairs of compounds.

(i) Methylamine and dimethylamine

(ii) Secondary and tertiary amines

(iii) Ethylamine and aniline

(iv) Aniline and benzylamine

(v) Aniline and ${N}$-methylaniline.

Show Answer

Answer

(i) Methylamine and dimethylamine can be distinguished by the carbylamine test.

Aliphatic and aromatic primary amines on heating with chloroform and ethanolic potassium hydroxide form foul-smelling isocyanides or carbylamines. Methylamine (being an aliphatic primary amine) gives a positive carbylamine test, but dimethylamine does not.

(ii) Secondary and tertiary amines can be distinguished by allowing them to react with Hinsberg’s reagent (benzenesulphonyl chloride, ${C_6} {H_5} {SO_2} {Cl}$ ).

Secondary amines react with Hinsberg’s reagent to form a product that is insoluble in an alkali. For example, N, N - diethylamine reacts with Hinsberg’s reagent to form N, N diethylbenzenesulphonamide, which is insoluble in an alkali. Tertiary amines, however, do not react with Hinsberg’s reagent.

(iii) Ethylamine and aniline can be distinguished using the azo-dye test.

A dye is obtained when aromatic amines react with ${HNO_2}\left({NaNO_2}+\right.$ dil. $\left.{HCl}\right)$ at $0-5^{\circ} {C}$, followed by a reaction with the alkaline solution of 2-naphthol. The dye is usually yellow, red, or orange in colour. Aliphatic amines give a brisk effervescence due (to the evolution of ${N_2}$ gas) under similar conditions.

(iv) Aniline and benzylamine can be distinguished by their reactions with the help of nitrous acid, which is prepared in situ from a mineral acid and sodium nitrite. Benzylamine reacts with nitrous acid to form unstable diazonium salt, which in turn gives alcohol with the evolution of nitrogen gas.

On the other hand, aniline reacts with ${HNO_2}$ at a low temperature to form stable diazonium salt. Thus, nitrogen gas is not evolved.

(v) Aniline and N-methylaniline can be distinguished using the Carbylamine test.

Primary amines, on heating with chloroform and ethanolic potassium hydroxide, form foul-smelling isocyanides or carbylamines. Aniline, being an aromatic primary amine, gives positive carbylamine test. However, N-methylaniline, being a secondary amine does not.

13.3 Account for the following:

(i) ${pK_b}$ of aniline is more than that of methylamine.

(ii) Ethylamine is soluble in water whereas aniline is not.

(iii) Methylamine in water reacts with ferric chloride to precipitate hydrated ferric oxide.

(iv) Although amino group is $O-$ and $p$ - directing in aromatic electrophilic substitution reactions, aniline on nitration gives a substantial amount of m-nitroaniline.

(v) Aniline does not undergo Friedel-Crafts reaction.

(vi) Diazonium salts of aromatic amines are more stable than those of aliphatic amines.

(vii) Gabriel phthalimide synthesis is preferred for synthesising primary amines.

Show Answer

Answer

(i) ${p} K_{b}$ of aniline is more than that of methylamine :

Aniline undergoes resonance and as a result, the electrons on the ${N}$-atom are delocalized over the benzene ring. Therefore, the electrons on the ${N}$-atom are less available to donate.

On the other hand, in case of methylamine (due to the $+{I}$ effect of methyl group), the electron density on the ${N}$-atom is increased. As a result, aniline is less basic than methylamine. Thus, $p K_{b}$ of aniline is more than that of methylamine.

(ii) Ethylamine is soluble in water whereas aniline is not :

Ethylamine when added to water forms intermolecular ${H}$ - bonds with water. Hence, it is soluble in water.

But aniline does not undergo ${H}$ - bonding with water to a very large extent due to the presence of a large hydrophobic - ${C_6} {H_5}$ group. Hence, aniline is insoluble in water.

(iii) Methylamine in water reacts with ferric chloride to precipitate hydrated ferric oxide :

Due to the $+{I}$ effect of - ${CH_3}$ group, methylamine is more basic than water. Therefore, in water, methylamine produces ${OH^-}$ ions by accepting ${H}^{+}$ ions from water.

$ {CH_3}-{NH_2}+{H}-{OH} \longrightarrow {CH_3}-\stackrel{+}{{N}} {H_3}+{OH}^{-} $

Ferric chloride $\left({FeCl_3}\right)$ dissociates in water to form ${Fe}^{3+}$ and ${Cl^-}$ ions.

$ {FeCl_3} \longrightarrow {Fe}^{3+}+3 {Cl}^{-} $

Then, ${OH^-}$ ion reacts with ${Fe}^{3+}$ ion to form a precipitate of hydrated ferric oxide.

$ 2 {Fe}^{3+}+6 {OH}^{-} \longrightarrow \underset{{\substack{\text{Hydrated}\\ \text{ferric oxide}}}}{{Fe_2} {O_3} \cdot 3 {H_2} {O}} $

(iv) Although amino group is $o-, p$ - directing in aromatic electrophilic substitution reactions, aniline on nitration gives a substantial amount of $\boldsymbol{m}$-nitroaniline:

Nitration is carried out in an acidic medium. In an acidic medium, aniline is protonated to give anilinium ion (which is meta-directing).

For this reason, aniline on nitration gives a substantial amount of m-nitroaniline.

(v) Aniline does not undergo Friedel-Crafts reaction :

A Friedel-Crafts reaction is carried out in the presence of ${AlCl_3}$. But ${AlCl_3}$ is acidic in nature, while aniline is a strong base. Thus, aniline reacts with ${AlCl_3}$ to form a salt (as shown in the following equation).

Due to the positive charge on the ${N}$-atom, electrophilic substitution in the benzene ring is deactivated. Hence, aniline does not undergo the Friedel-Crafts reaction.

(vi) Diazonium salts of aromatic amines are more stable than those of aliphatic amines:

The diazonium ion undergoes resonance as shown below:

This resonance accounts for the stability of the diazonium ion. Hence, diazonium salts of aromatic amines are more stable than those of aliphatic amines.

(vii) Gabriel phthalimide synthesis is preferred for synthesising primary amines :

Gabriel synthesis is used for the preparation of primary amines. Phthalimide on treatment with ethanolic potassium hydroxide forms potassium salt of phthalimide which on heating with alkyl halide followed by alkaline hydrolysis produces the corresponding primary amine. Aromatic primary amines cannot be prepared by this method because aryl halides do not undergo nucleophilic substitution with the anion formed by phthalimide.

13.4 Arrange the following:

(i) In decreasing order of the ${p} K_{b}$ values:

${C_2} {H_5} {NH_2}, {C_6} {H_5} {NHCH_3},\left({C_2} {H_5}\right)_{2} {NH}$ and ${C_6} {H_5} {NH_2}$

(ii) In increasing order of basic strength:

${C_6} {H_5} {NH_2}, {C_6} {H_5} {~N}\left({CH_3}\right)_{2},\left({C_2} {H_5}\right)_2 {NH}$ and ${CH_3} {NH_2}$

(iii) In increasing order of basic strength:

(a) Aniline, $p$-nitroaniline and $p$-toluidine

(b) ${C_6} {H_5} {NH_2}, {C_6} {H_5} {NHCH_3}, {C_6} {H_5} {CH_2} {NH_2}$.

(iv) In decreasing order of basic strength in gas phase:

${C_2} {H_5} {NH_2},\left({C_2} {H_5}\right)_2 {NH},\left({C_2} {H_5}\right)_3 {~N}$ and ${NH_3}$

(v) In increasing order of boiling point:

${C_2} {H_5} {OH},\left({CH_3}\right)_{2} {NH}, {C_2} {H_5} {NH_2}$

(vi) In increasing order of solubility in water:

${C_6} {H_5} {NH_2},\left({C_2} {H_5}\right)_{2} {NH}, {C_2} {H_5} {NH_2}$.

Show Answer

Answer

(i) In ${C _2} {H _5} {NH _2}$, only one $-{C _2} {H _5}$ group is present while in $\left({C _2} {H _5}\right) _{2} {NH}$, two $-{C _2} {H _5}$ groups are present. Thus, the $+{I}$ effect is more in $\left({C _2} {H _5}\right) _{2} {NH}$ than in ${C _2} {H _5} {NH _2}$. Therefore, the electron density over the ${N}$-atom is more in $\left({C _2} {H _5}\right) _{2} {NH}$ than in ${C _2} {H _5} {NH _2}$. Hence, $\left({C _2} {H _5}\right) _{2} {NH}$ is more basic than ${C _2} {H_5} {NH_2}$.

Also, both ${C_6} {H_5} {NHCH_3}$ and ${C_6} {H_5} {NH_2}$ are less basic than $\left({C_2} {H_5}\right)_{2} {NH}$ and ${C_2} {H_5} {NH_2}$ due to the delocalization of the lone pair in the former two. Further, among ${C_6} {H_5} {NHCH_3}$ and ${C_6} {H_5} {NH_2}$, the former will be more basic due to the $+{I}$ effect of $-{CH_3}$ group. Hence, the order of increasing basicity of the given compounds is as follows:

${C_6} {H_5} {NH_2}<{C_6} {H_5} {NHCH_3}<{C_2} {H_5} {NH_2}<\left({C_2} {H_5}\right)_{2} {NH}$

We know that the higher the basic strength, the lower is the ${p} K_{b}$ values.

${C_6} {H_5} {NH_2}>{C_6} {H_5} {NHCH_3}>{C_2} {H_5} {NH_2}>\left({C_2} {H_5}\right)_{2} {NH}$

(ii) ${C _6} {H _5} {~N}\left({CH _3}\right) _{2}$ is more basic than ${C _6} {H _5} {NH _2}$ due to the presence of the $+{I}$ effect of two ${CH _3}$ groups in ${C _6} {H _5} {~N}\left({CH _3}\right) _{2}$. Further, ${CH _3} {NH _2}$ contains one $-{CH _3}$ group while $\left({C _2} {H _5}\right) _{2} {NH}$ contains two $-{C _2} {H _5}$ groups. Thus, $\left({C _2} {H _5}\right) _{2} {NH}$ is more basic than ${C _2} {H _5} {NH _2}$.

Now, ${C_6} {H_5} {~N}\left({CH_3}\right)_{2}$ is less basic than ${CH_3} {NH_2}$ because of the-R effect of $-{C_6} {H_5}$ group.

Hence, the increasing order of the basic strengths of the given compounds is as follows:

${C _6} {H _5} {NH _2}<{C _6} {H _5} {~N}\left({CH _3}\right) _{2}<{CH _3} { NH _2}<\left({C _2} { H _5}\right) _{2} {NH}$

(iii)

(a)

In $p$-toluidine, the presence of electron-donating $-{CH_3}$ group increases the electron density on the ${N}$-atom. Thus, $p$-toluidine is more basic than aniline.

On the other hand, the presence of electron-withdrawing $-{NO_2}$ group decreases the electron density over the ${N}$-atom in $p$-nitroaniline. Thus, $p$-nitroaniline is less basic than aniline.

Hence, the increasing order of the basic strengths of the given compounds is as follows:

$ p $-Nitroaniline $ < $ Aniline $ < p $-Toluidine

(b) ${C_6} {H_5} {NHCH_3}$ is more basic than ${C_6} {H_5} {NH_2}$ due to the presence of electron-donating - ${CH_3}$ group in ${C_6} {H_5} {NHCH_3}$.

Again, in ${C_6} {H_5} {NHCH_3},-{C_6} {H_5}$ group is directly attached to the ${N}$-atom. However, it is not so in ${C_6} {H_5} {CH_2} {NH_2}$. Thus, in ${C_6} {H_5} {NHCH_3}$, the - ${R}$ effect of $-{C_6} {H_5}$ group decreases the electron density over the ${N}$-atom. Therefore, ${C_6} {H_5} {CH_2} {NH_2}$ is more basic than ${C_6} {H_5} {NHCH_3}$.

Hence, the increasing order of the basic strengths of the given compounds is as follows:

${C_6} {H_5} {NH_2}<{C_6} {H_5} {NHCH_3}<{C_6} {H_5} {CH_2} {NH_2}$.

(iv) In the gas phase, there is no solvation effect. As a result, the basic strength mainly depends upon the $+{I}$ effect. The higher the $+{I}$ effect, the stronger is the base. Also, the greater the number of alkyl groups, the higher is the $+{I}$ effect. Therefore, the given compounds can be arranged in the decreasing order of their basic strengths in the gas phase as follows:

$\left({C _2} {H _5}\right) _{3} {~N}>\left({C _2} {H _5}\right) _{2} {NH}>{C _2} {H _5} {NH _2}>{NH _3}$

(v) The boiling points of compounds depend on the extent of ${H}$-bonding present in that compound. The more extensive the H-bonding in the compound, the higher is the boiling point. $\left({CH _3}\right) _{2} {NH}$ contains only one ${H}$-atom whereas ${C _2} {H _5} {NH _2}$ contains two ${H}$-atoms. Then, ${C _2} {H _5} {NH _2}$ undergoes more extensive ${H}$-bonding than $\left({CH _3}\right) _{2} {NH}$. Hence, the boiling point of ${C _2} {H _5} {NH _2}$ is higher than that of $\left({CH _3}\right) _{2} {NH}$.

Further, ${O}$ is more electronegative than ${N}$. Thus, ${C_2} {H_5} {OH}$ forms stronger ${H}$-bonds than ${C_2} {H_5} {NH_2}$. As a result, the boiling point of ${C_2} {H_5} {OH}$ is higher than that of ${C_2} {H_5} {NH_2}$ and $\left({CH_3}\right)_{2} {NH}$.

Now, the given compounds can be arranged in the increasing order of their boiling points as follows:

$\left({CH_3}\right)_{2} {NH}<{C_2} {H_5} {NH_2}<{C_2} {H_5} {OH}$

(vi) The more extensive the H-bonding, the higher is the solubility. ${C _2} {H _5} {NH _2}$ contains two ${H}$ atoms whereas $\left({C _2} {H _5}\right) _{2} {NH}$ contains only one ${H}$-atom. Thus, ${C _2} {H _5} {NH _2}$ undergoes more extensive ${H}$-bonding than $\left({C _2} {H _5}\right) _{2} {NH}$. Hence, the solubility in water of ${C _2} {H _5} {NH _2}$ is more than that of $\left({C _2} {H _5}\right) _{2} {NH}$.

Further, the solubility of amines decreases with increase in the molecular mass. This is because the molecular mass of amines increases with an increase in the size of the hydrophobic part. The molecular mass of ${C_6} {H_5} {NH_2}$ is greater than that of ${C_2} {H_5} {NH_2}$ and $\left({C_2} {H_5}\right)_{2} {NH}$.

Hence, the increasing order of their solubility in water is as follows:

${C_6} {H_5} {NH_2}<\left({C_2} {H_5}\right)_{2} {NH}<{C_2} {H_5} {NH_2}$

13.5 How will you convert:

(i) Ethanoic acid into methanamine

(ii) Hexanenitrile into 1-aminopentane

(iii) Methanol to ethanoic acid

(iv) Ethanamine into methanamine

(v) Ethanoic acid into propanoic acid

(vi) Methanamine into ethanamine

(vii) Nitromethane into dimethylamine

(viii) Propanoic acid into ethanoic acid?

Show Answer

Answer

(i)

(ii)

(iii)

(iv)

(v)

(vi)

(vii)

(viii)

13.6 Describe a method for the identification of primary, secondary and tertiary amines. Also write chemical equations of the reactions involved.

Show Answer

Answer

Benzenesulphonyl chloride $\left({C}_6 {H}_5 {SO}_2 {Cl}\right)$, which is also known as Hinsberg’s reagent, reacts with primary and secondary amines to form sulphonamides.

(a) The reaction of benzenesulphonyl chloride with primary amine yields N -ethylbenzenesulphonyl amide.

The hydrogen attached to nitrogen in sulphonamide is strongly acidic due to the presence of strong electron withdrawing sulphonyl group. Hence, it is soluble in alkali.

(b) In the reaction with secondary amine, N,N-diethylbenzenesulphonamide is formed.

Since N, N-diethylbenzene sulphonamide does not contain any hydrogen atom attached to nitrogen atom, it is not acidic and hence insoluble in alkali.

(c) Tertiary amines do not react with benzenesulphonyl chloride. This property of amines reacting with benzenesulphonyl chloride in a different manner is used for the distinction of primary, secondary and tertiary amines and also for the separation of a mixture of amines. However, these days benzenesulphonyl chloride is replaced by $p$-toluenesulphonyl chloride.

13.7 Write short notes on the following:

(i) Carbylamine reaction

(ii) Diazotisation

(iii) Hofmann’s bromamide reaction

(iv) Coupling reaction

(v) Ammonolysis

(vi) Acetylation

(vii) Gabriel phthalimide synthesis.

Show Answer

Answer

(i) Carbylamine reaction

Aliphatic and aromatic primary amines on heating with chloroform and ethanolic potassium hydroxide form isocyanides or carbylamines which are foul smelling substances. Secondary and tertiary amines do not show this reaction. This reaction is known as carbylamine reaction or isocyanide test and is used as a test for primary amines.

$ \underset{\text{Primary amine}}{{R}-{NH_2}}+\underset{\text{Chloform}}{{CHCl_3}}+\underset{\substack{\text{Potassium}\\ \text{hyroxide}}}{3 {KOH}(\text { alc. })} \xrightarrow{\Delta} \underset{\text{Carbylamine}}{{R}-{NC}}+3 {KCl}+3 {H_2} {O} $

For example,

$ \underset{\text{Methanamine}}{{CH_3}-{NH_2}}+{CHCl_3}+3 {KOH}(\text {alc.}) \xrightarrow{\Delta} \underset{\substack{\text{Methyl carbylamine}\\ \text{or methyl isocyanide}}}{{CH_3}-{NC}}+3 {KCl}+3 {H_2} {O} $

(ii) Diazotisation

Aromatic primary amines react with nitrous acid (prepared in situ from ${NaNO_2}$ and a mineral acid such as ${HCl}$ ) at low temperatures (273-278 K) to form diazonium salts. This conversion of aromatic primary amines into diazonium salts is known as diazotization.

For example, on treatment with ${NaNO_2}$ and ${HCl}$ at $273 - 278 {~K}$, aniline produces benzenediazonium chloride, with ${NaCl}$ and ${H_2} {O}$ as by-products.

(iii) Hoffmann bromamide reaction

When an amide is treated with bromine in an aqueous or ethanolic solution of sodium hydroxide, a primary amine with one carbon atom less than the original amide is produced. This degradation reaction is known as Hoffmann bromamide reaction. This reaction involves the migration of an alkyl or aryl group from the carbonyl carbon atom of the amide to the nitrogen atom.

For example,

(iv) Coupling reaction

The azo products obtained have an extended conjugate system having both the aromatic rings joined through the $-{N}={N}$ - bond. These compounds are often coloured and are used as dyes. Benzene diazonium chloride reacts with phenol in which the phenol molecule at its para position is coupled with the diazonium salt to form p-hydroxyazobenzene. This type of reaction is known as coupling reaction.

It can be observed that, the para-positions of phenol and aniline are coupled with the diazonium salt. This reaction proceeds through electrophilic substitution.

(v) Ammonolysis

When an alkyl or benzyl halide is allowed to react with an ethanolic solution of ammonia, it undergoes nucleophilic substitution reaction in which the halogen atom is replaced by an amino ( - ${NH_2}$ ) group. This process of cleavage of the carbon-halogen bond is known as ammonolysis.

The free amine can be obtained from the ammonium salt by treatment with a strong base :

Ammonolysis has the disadvantage of yielding a mixture of primary, secondary and tertiary amines and also a quaternary ammonium salt. However, primary amine is obtained as a major product by taking large excess of ammonia.

(vi) Acetylation

Acetylation (or ethanoylation) is the process of introducing an acetyl group into a molecule.

Aliphatic and aromatic primary and secondary amines undergo acetylation reaction by nucleophilic substitution when treated with acid chlorides, anhydrides or esters. This reaction involves the replacement of the hydrogen atom of - ${NH_2} {Or}>{NH}$ group by the acetyl group, which in turn leads to the production of amides. To shift the equilibrium to the right hand side, the ${HCl}$ formed during the reaction is removed as soon as it is formed. This reaction is carried out in the presence of a base (such as pyridine) which is stronger than the amine.

When amines react with benzoyl chloride, the reaction is also known as benzoylation.

For example,

(vii) Gabriel phthalimide synthesis

Gabriel phthalimide synthesis is a very useful method for the preparation of aliphatic primary amines. It involves the treatment of phthalimide with ethanolic potassium hydroxide to form potassium salt of phthalimide. This salt is further heated with alkyl halide, followed by alkaline hydrolysis to yield the corresponding primary amine.

13.8 Accomplish the following conversions:

(i) Nitrobenzene to benzoic acid

(ii) Benzene to $m$-bromophenol

(iii) Benzoic acid to aniline

(iv) Aniline to 2,4,6-tribromofluorobenzene

(v) Benzyl chloride to 2-phenylethanamine

(vi) Chlorobenzene to $p$-chloroaniline

(vii) Aniline to $p$-bromoaniline

(viii) Benzamide to toluene

(ix) Aniline to benzyl alcohol.

Show Answer

Answer

(i)

(ii)

(iii)

(iv)

(v)

(vi)

(vii)

(viii)

(ix)

13.09 Give the structures of A, B and C in the following reactions:

(i) ${CH}_3 {CH}_2 {I} \xrightarrow{{NaCN}} {A} \xrightarrow[\text { Partial hydrolysis }]{{OH}^{-}} {B} \xrightarrow{{NaOH}+{Br}_2} {C}$

(ii) ${C}_6 {H}_5 {~N}_2 {Cl} \xrightarrow{{CuCN}} {A} \xrightarrow{{H}_2 {O} / {H}^{+}} {B} \xrightarrow[\Delta]{{NH}_3} {C}$

(iii) ${CH}_3 {CH}_2 {Br} \xrightarrow{{KCN}} {A} \xrightarrow{{LiAlH}_4} {~B} \xrightarrow[0^{\circ} {C}]{{HNO}_2} {C}$

(iv) ${C}_6 {H}_5 {NO}_2 \xrightarrow{{Fe} / {HCl}} {A} \xrightarrow[273 {~K}]{{NaNO}_2+{HCl}} {B} \xrightarrow[\Delta]{{H}_2 {O} / {H}^{+}} {C}$

(v) ${CH}_3 {COOH} \xrightarrow[\Delta]{{NH}_3} {~A} \xrightarrow{{NaOBr}} {B} \xrightarrow{{NaNO}_2 / {HCl}} {C}$

(vi) ${C}_6 {H}_5 {NO}_2 \xrightarrow{{Fe} / {HCl}} {A} \xrightarrow[273 {~K}]{{HNO}_2} {~B} \xrightarrow{{C}_6 {H}_5 {OH}} {C}$

Show Answer

Answer

(i) ${CH}_3 {CH}_2 {I} \xrightarrow{{NaCN}} {CH}_3 {CH}_2 {CN} \xrightarrow[\text { Partial hydrolysis }]{{OH}^{-}} {{CH}_3 {CH}_2CO{NH}_2} \xrightarrow{{NaOH}+{Br}_2} {{CH}_3 {CH}_2{NH}_2}$

(ii) ${C}_6 {H}_5 {~N}_2 {Cl} \xrightarrow{{CuCN}} {C_6H_5CN } \xrightarrow{{H}_2 {O} / {H}^{+}} {C_6H_5COOH} \xrightarrow[\Delta]{{NH}_3} {C_6H_5CONH_2}$

(iii) ${CH}_3 {CH}_2 {Br} \xrightarrow{{KCN}} {CH_3CH_2CN} \xrightarrow{{LiAlH}_4} {CH_3CH_2CH_2NH_2} \xrightarrow[0^{\circ} {C}]{{HNO}_2} {CH_3CH_2CH_2OH}$

(iv) ${C}_6 {H}_5 {NO}_2 \xrightarrow{{Fe} / {HCl}} {C_6H_5NH_2} \xrightarrow[273 {~K}]{{NaNO}_2+{HCl}} {C_6H_5N_2Cl} \xrightarrow[\Delta]{{H}_2 {O} / {H}^{+}} {C_6H_5OH}$

(v) ${CH}_3 {COOH} \xrightarrow[\Delta]{{NH}_3} {CH_3CONH_2} \xrightarrow{{NaOBr}} {CH_3NH_2} \xrightarrow{{NaNO}_2 / {HCl}} {CH_3OH}$

(vi) ${C}_6 {H}_5 {NO}_2 \xrightarrow{{Fe} / {HCl}} {C_6H_5NH_2} \xrightarrow[273 {~K}]{{HNO}_2} {C_6H_5N_2Cl} \xrightarrow{{C}_6 {H}_5 {OH}} {C_6H_5OH}$

13.10 An aromatic compound ’ ${A}$ ’ on treatment with aqueous ammonia and heating forms compound ’ ${B}$ ’ which on heating with ${Br_2}$ and ${KOH}$ forms a compound ’ ${C}$ ’ of molecular formula ${C_6} {H_7} {~N}$. Write the structures and IUPAC names of compounds ${A}, {B}$ and ${C}$.

Show Answer

Answer

It is given that compound ’ ${C}$ ’ having the molecular formula, ${C_6} {H_7} {~N}$ is formed by heating compound ‘B’ with ${Br_2}$ and ${KOH}$. This is a Hoffmann bromamide degradation reaction. Therefore, compound ’ ${B}$ ’ is an amide and compound ’ ${C}$ ’ is an amine. The only amine having the molecular formula, ${C_6} {H_7} {~N}$ is aniline, $\left({C_6} {H_5} {NH_2}\right)$.

Therefore, compound ‘B’ (from which ’ ${C}$ ’ is formed) must be benzamide, $\left({C_6} {H_5} {CONH_2}\right)$.

Further, benzamide is formed by heating compound ‘A’ with aqueous ammonia. Therefore, compound ‘A’ must be benzoic acid.

Benzoic acid

The given reactions can be explained with the help of the following equations:

13.11 Complete the following reactions:

(i) ${C_6} {H_5} {NH_2}+{CHCl_3}+$ alc. ${KOH} \rightarrow$

(ii) ${C_6} {H_5} {~N_2} {Cl}+{H_3} {PO_2}+{H_2} {O} \rightarrow$

(iii) ${C_6} {H_5} {NH_2}+{H_2} {SO_4}$ (conc.) $\rightarrow$

(iv) ${C_6} {H_5} {~N_2} {Cl}+{C_2} {H_5} {OH} \rightarrow$

(v) ${C_6} {H_5} {NH_2}+{Br_2}({aq}) \rightarrow$

(vi) ${C_6} {H_5} {NH_2}+\left({CH_3} {CO}\right)_{2} {O} \rightarrow$

(vii) ${C} _{6} {H} _{5} {~N} _{2} {Cl} \xrightarrow[\text { (ii) } {NaNO} _{2} / {Cu}, \Delta]{\left(\text { i) } {HBF} _{4}\right.}$

Show Answer

Answer

(i)

$ \begin{aligned} & {C}_6 {H}_5 {NH}_2+{CHCl}_3+3 {KOH} \rightarrow \underset{\text { Phenyl isocyanide }}{{C}_6 {H}_5 {NC}} +3 {KCl}+3 {H}_2 {O} \end{aligned} $

(ii) $\underset{\substack{\text{Benzenediazonium}\\ \text{chloride}}}{{C_6} {H_5} {~N_2} {Cl}}+{H_3} {PO_2}+{H_2} {O} \rightarrow \underset{\text{Benzene}}{{C_6} {H_6}}+{N_2}+{H_3} {PO_3}+{HCl}$

(iii)

(iv) $ \underset{\substack{\text{Benzenediazonium}\\ \text{chloride}}}{{C_6} {H_5} {N_2} {Cl}}+\underset{\text{Ethanol}}{{C_2} {H_5} {OH}} \rightarrow \underset{\text{Benzene}}{{C_6} {H_6}}+ \underset{\text{Ethanal}}{{CH_3} {CHO}}+{N_2}+{HCl} $

(v)

(vi)

(vii)

13.12 Why cannot aromatic primary amines be prepared by Gabriel phthalimide synthesis?

Show Answer

Answer

Gabriel synthesis is used for the preparation of primary amines. Phthalimide on treatment with ethanolic potassium hydroxide forms potassium salt of phthalimide which on heating with alkyl halide followed by alkaline hydrolysis produces the corresponding primary amine.

Aromatic primary amines cannot be prepared by this method because aryl halides do not undergo nucleophilic substitution with the anion formed by phthalimide.

Hence, aromatic primary amines cannot be prepared by this process.

13.13 Write the reactions of (i) aromatic and (ii) aliphatic primary amines with nitrous acid.

Show Answer

Answer

(i) Aromatic amines react with nitrous acid (prepared in situ from ${NaNO_2}$ and a mineral acid such as ${HCl}$ ) at 273 - $278 {~K}$ to form stable aromatic diazonium salts i.e., ${NaCl}$ and ${H_2} {O}$.

(ii) Aliphatic primary amines react with nitrous acid (prepared in situ from ${NaNO_2}$ and a mineral acid such as ${HCl}$ ) to form unstable aliphatic diazonium salts, which further produce alcohol and ${HCl}$ with the evolution of ${N_2}$ gas.

13.14 Give plausible explanation for each of the following:

(i) Why are amines less acidic than alcohols of comparable molecular masses?

(ii) Why do primary amines have higher boiling point than tertiary amines?

(iii) Why are aliphatic amines stronger bases than aromatic amines?

Show Answer

Answer

(i) Amines are less acidic than alcohols of comparable molecular masses. The reason is explained below:

  • Amines lose a proton to form an amide ion. Alcohols lose a proton to form alkoxide ions.
  • Formation of an amide ion: ${R}-{NH}_2 \longrightarrow {R}-{NH}^{-}+{H}^{+}$
  • Formation of an alkoxide ion: ${R}-{OH} \longrightarrow {R}-{O}^{-}+{H}^{+}$
  • Since oxygen is more electronegative than nitrogen, So, the alkoxide ion is more stable as compared to an amide ion. Hence, alcohol is more acidic than amines

(ii) In primary amines, nitrogen atoms have two hydrogen atoms which result in extensive intermolecular ${H}$ - bonding. In tertiary amines, nitrogen atoms do not have any hydrogen atoms and hydrogen bonding is not possible.

Hence, primary amines have a higher boiling point than tertiary amines.

Part (iii) : Aliphatic amines are stronger bases than aromatic amines due to following reasons: (a) The lone pair of electrons of the nitrogen atom of aromatic amines is involved in conjugation with the $\pi$-bond pairs of the ring as follows

(b) Anilinium ion obtained by accepting a proton is less stabilized by resonance. Due to the $-{R}$ effect of the benzene ring, the electrons on the ${N}$ atom are less available in the case of aromatic amines. Therefore, the electrons on the ${N}$-atom in aromatic amines cannot be donated easily.

We know that greater the number of resonating structures, greater is the stability. Thus you can infer that aniline (five resonating structures) is more stable than anilinium ion. Hence, the proton acceptability or the basic nature of aniline or other aromatic amines would be less than that of ammonia.

So, aniline is a weaker base than alkyl amines, in which $+I$ effect increases the electron density on the nitrogen atom.


Learning Progress: Step 13 of 16 in this series